Мера внедрения рекламного сообщения измеряется в процентах — как доля людей, запомнивших его, от общего количества респонден-тов. Этот показатель может быть также назван «известностью», а в связи с особенностями методов его измерения — «узнаваемостью».
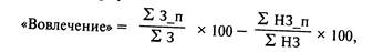
Второй классический показатель эффективности рекламного воз-действия — коэффициент «вовлечения в потребление». Эта величина связывает известность ролика и потребление рекламируемого в нем товара и определяется как разница между долей «пользующихся» то-варом среди «помнящих» его рекламу и долей «пользующихся» среди

где 3 — респонденты, запомнившие рекламу; НЗ — респонденты, не запомнившие рекламу; 3_п — респонденты, запомнившие рекламу и пользующиеся данным товаром; Н3_п — респонденты, не запомнив-шие рекламу и пользующиеся данным товаром.
Положительные значения показателя «вовлечения» свидетельствуют о том, что люди, покупающие данный продукт, с большой степенью
вероятности знакомы с его рекламой, и, следовательно, потребление товара связано с эффективностью рекламного воздействия. Снижение этого коэффициента до отрицательных значений говорит о том, что потребление товара не продиктовано рекламой и люди, покупающие продукт, с ней чаще всего не знакомы. <...>
Реклама, не имеющая потребительской ценности для зрителя как непосредственного пользователя (реклама банков, строительной тех-ники, имиджа фирмы и др.), исключается из подсчета индекса «вов-леченности». <...>






