В общем виде линейную модель множественной регрессии можно записать следующим образом:
yi=β0+β1x1i+…+βmxmi+εi,

где yi – значение i-ой результативной переменной,
x1i…xmi – значения факторных переменных;
β0…βm – неизвестные коэффициенты модели множественной регрессии;
εi – случайные ошибки модели множественной регрессии.
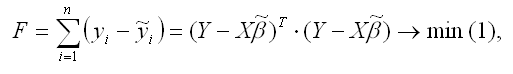
В результате оценивания данной эконометрической модели определяются оценки неизвестных коэффициентов. Классический подход к оцениванию параметров линейной регрессии основан на методе наименьших квадратов (МНК). Суть метода наименьших квадратов состоит в том, чтобы найти такой вектор β оценок неизвестных коэффициентов модели, при которых сумма квадратов отклонений (остатков) наблюдаемых значений зависимой переменной у от расчётных значений ỹ (рассчитанных на основании построенной модели регрессии) была бы минимальной.
Матричная форма функционала F метода наименьших квадратов:

где

– случайный вектор-столбец значений результативной переменной размерности (n*1);

– матрица значений факторной переменной размерности (n*(m+1)). Первый столбец является единичным, потому что в модели регрессии коэффициент β0 умножается на единицу;
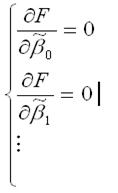
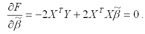
В процессе минимизации функции (1) неизвестными являются только значения коэффициентов β0…βm, потому что значения результативной и факторных переменных известны из наблюдений. Для определения минимума функции (1) необходимо вычислить частные производные этой функции по каждому из оцениваемых параметров и приравнять их к нулю. Результатом данной процедуры будет стационарная система уравнений для функции (1):

где

– вектор-столбец неизвестных коэффициентов модели регрессии размерности ((m+1)*1);
Общий вид стационарной системы уравнений для функции (1):

Решением стационарной системы уравнений будут МНК-оценки неизвестных параметров линейной модели множественной регрессии:

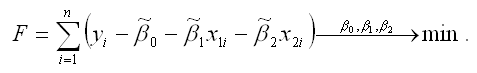
Оценим с помощью метода наименьших квадратов неизвестные параметры линейной модели двухфакторной регрессии:
yi=β0+β1x1i+β2x2i+εi,
где

Чтобы рассчитать оценки неизвестных коэффициентов β0,β1 и β2 данной двухфакторной модели регрессии, необходимо минимизировать функционал F вида:

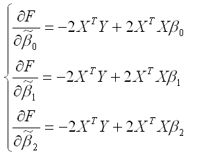
Для определения экстремума функции нескольких переменных, частные производные по этим переменным приравниваются к нулю. Результатом данной процедуры будет стационарная система уравнений для модели множественной линейной регрессии с двумя переменными:

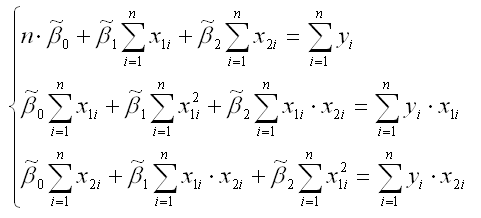
В результате элементарных преобразований данной стационарной системы уравнений получим систему нормальных уравнений:

Данная система называется системой нормальных уравнений относительно коэффициентов

для модели регрессии yi=β0+β1x1i+β2x2i+εi.
Полученная система нормальных уравнений является квадратной, т. к. количество уравнений равняется количеству неизвестных переменных, поэтому коэффициенты

можно рассчитать с помощью метода Крамера или метода Гаусса.
Рассмотрим подробнее метод Крамера решения квадратных систем нормальных уравнений.
Единственное решение квадратной системы линейных уравнений определяется по формуле:

где Δ – основной определитель квадратной системы линейных уравнений;
Δ j – определитель, полученный из основного определителя путём замены j-го столбца на столбец свободных членов.
При использовании метода Крамера возможно возникновение следующих ситуаций:
1) если основной определитель системы Δ равен нулю и все определители Δj также равны нулю, то данная система имеет бесконечное множество решений;
2) если основной определитель системы Δ равен нулю и хотя бы один из определителей Δj также равен нулю, то система решений не имеет.