
Для реальной катушки можно составить и другую расчетную схему — с параллельным соединением двух ветвей: с активной G и индуктивной B L проводимостями. На рис. 13.12, б эта схема показана в сравнении со схемой последовательного соединения активного и индуктивного сопротивлений (рис. 13.12, а), рассмотренной ранее.
Покажем, что схемы рис. 13.12, а, б эквивалентны в том смысле, что при одинаковом напряжении сохраняются неизменными ток в неразветвленной части цепи, активная и реактивная мощности.
Вектор тока I можно разложить на две взаимно перпендикулярные составляющие и в соответствии со схемой и векторной диаграммой на рис. 13.12, б выразить векторным равенством
I = I G + I L (13.24)
Для схемы параллельного соединения активного и индуктивного элементов общим является приложенное напряжение, а токи разные: I G —ток в ветви с активной проводимостью, по фазе совпадает с напряжением; I L — ток в ветви с индуктивной проводимостью, по фазе отстает от напряжения на угол 90°.
Вектор тока I и его составляющие I G и I L образуют прямоугольный треугольник, поэтому 
Составляющая тока в активном элементе
IG = Icosφ
Проекция вектора тока I на направление напряжения называется активной составляющей вектора тока и обозначается I а. Для катушки по схеме на рис. 13.12, б I a = I G.
Составляющая тока в реактивном элементе
I L = Isinφ
Проекция вектора тока I на направление, перпендикулярное вектору напряжения, называется реактивной составляющей вектора тока и обозначается Iр. Для катушки Iр = IL.
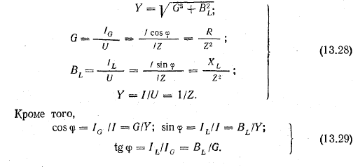
Стороны треугольника токов, выраженные в единицах тока, можно разделить на напряжение U и получить подобный треугольник проводимостей, катетами которого являются активная G = I G /U и индуктивная ВL = IL/U проводимости, а гипотенузой — величина Y = I/U, называемая полной проводимостью цепи.
Из треугольника проводимостей и с учетом ранее полученных выражений из треугольника сопротивлений получим 
43) Параллельное соединение активного и реактивного элементов.
При последовательном- складываются сопротивления, при параллельном -проводимости (1/R). Что активное, что реактивное.
Для реактивного в формуле появляюся частота, индуктивнось и ёмкость.
44) напряжений: условия и признаки резонанса напряжений, резонансная частота
В последовательной цепи переменного тока с активным, индуктивным и емкостным сопротивлениями, в зависимости от соотношений XLи XC, можно выделить три характерных режима ее работы при: XL>XC, XL<XCиXL=XC.
Построим векторные диаграммы для всех трех случаев (рис. 2.14)
Рис. 2.14 Векторные диаграммы режимов работы последовательной цепи переменного тока.
Третья векторная диаграмма аналогична диаграмме цепи переменного тока с активным сопротивлением в том смысле, что, напряжение и ток совпадают друг с другом, угол сдвига фаз между ними. Отсутствие влияния реактивных сопротивлений на величину тока в цепи объясняется тем, что при равенстве между собой сопротивлений XL и XC, равные между собой и смещенные относительно друг от друга на 180° напряжения ULи UC взаимно компенсируются.
Величина тока в цепи при этом определяется только активным сопротивлением и достигает максимального значения.
=Imax (2.25)
Режим работы последовательной цепи переменного тока, когда XL=XCназывается резонансом напряжений. В случае наличия в цепи нескольких индуктивных и емкостных сопротивлений условием достижения резонанса напряжений является равенство:
Хотя, при резонансе напряжений, напряжения ULи UCне оказывают влияния на величину тока в цепи, эти напряжения существуют и могут значительно превышать напряжениеU, приложенное к зажимам цепи, что и предопределило название этого явления.Действительно
Отсюда видно, что при резонансе напряжений, напряжения на индуктивном или емкостном сопротивлениях во столько раз больше напряжения, приложенного к зажимам цепи, во сколько раз индуктивное или емкостное сопротивление больше активного сопротивления цепи.
Резонанс напряжений можно вызвать двумя способами:
а) изменением емкости конденсаторной батареи;
б) изменением частоты питающего тока.
а) Если постепенно увеличивать емкость конденсаторной батареи от нуля до некоторого конечного значения, то емкостное сопротивление будет уменьшаться, а токв цепи возрастать, в соответствии с выражением (2.25), и достигнет наибольшего значения при такой емкости Ср, когда XС окажется равным XL. Дальнейшее увеличение емкости приводит к снижению тока. Сказанное можно проиллюстрировать графиком (рис. 2.15).
Рис. 2.15. К определению резонанса напряжений.
б) Из условия резонанса напряжений следует, откуда илиfр, где fр– резонансная частота тока.
Сказанное иллюстрируется графиком (рис. 2.16).
Рис. 2.16. К определению резонансной частоты питающего тока






