Рассмотрим сечение 2-2, проходящее по второстепенной балке (рис. 5).

1,2- продольная арматура
3-надопорная арматура (сетки)
4-стыковае стержни d=d0 /2 и не < 10 мм
Рис. 5. К проектированию второстепенных балок: а) расчетная схема балки; б) огибающая эпюра моментов в балке; в) схема армирования
Расчётные дины в среднем и крайнем пролетах:


Погонная постоянная нагрузка:

g - итоговая расчётная постоянная нагрузка из таблицы 2;
В = max{ lпл. } - ширина грузовой площадки;
Округляем в большую сторону до 2-х знаков.
Погонная временная нагрузка:

v – расчётная временная нагрузка из таблицы.
Полная погонная нагрузка:

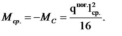
Изгибающие моменты определяются аналогично плите:




Для второстепенной балки определяется ещё отрицательный изгибающий момент, расположенный на расстоянии ¼ от опоры В.

β – коэффициент, зависящий от соотношения
, принимаем по таблице 7 интерполированием.
Таблица 7. Коэффициенты для определения изгибающих моментов
| V/g | β | V/g | β | |
| 0,5 | -0,01 | -0,04 | ||
| -0,03 | 3,5 | -0,04 | ||
| 1,5 | -0,03 | -0,04 | ||
| -0,04 | 4,5 | -0,04 | ||
| 2,5 | -0,04 | -0,05 |
Поперечные перерезывающие силы.
|
|
|









