Верхняя арматура в каркасах К-1 и К-2.
Аs (2 ø 
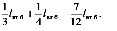
На опорах В и С верхняя арматура каркасов прерывается, поэтому для восприятия этих отрицательных моментов раскатываются сетки в 2 слоя вразбежку(рис. 5). По сортаменту арматуры мы подбираем сетку на полосу шириной 1 м. При расчёте второстепенной балки нагрузка определялась на ширину В =lпл.. Приводим требуемую площадь арматуры к требуемой площади арматуры на 1 п. м ширины сетки.


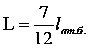
Требуемая ширина сетки (рис. 5):

Если
сетки такой ширины есть в сортаменте, подбираем рулонную сетку (поперечная рабочая арматура).
Ширина сетки
, ближайшая по сортаменту.
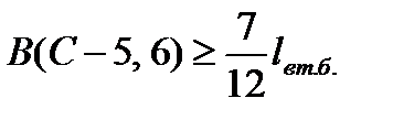
Если
подбираем плоскую сетку (продольная рабочая арматура).
Плоские сетки раскладывают поперек главных балок. Их ширина зависит от длины главной балки lгл.б.. В пролёте укладывают 2 или 3 сетки с нахлёстом не менее 200 мм. Длина сетки. 






