
В любом случае вводится ограничение:

4. Определяем промежуточную величину:

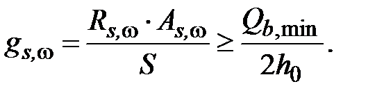
5. Определяем интенсивность поперечного армирования, делаем проверку:

Если условие выполнилось, переходим к следующему пункту.
Если не выполнилось – пересчитываем величину

В этих расчётах 
6. Определяем расстояние от грани опоры до конца наклонной трещины:

q1 – условная равномерно распределенная расчётная внешняя нагрузка (если нагрузка сосредоточенная – приводим её к равномерно распределённой).
7. Определяем поперечную перерезывающую силу, воспринимаемую сжатой зоной бетона:

Если на этой стадии расчёта получилось, что
поперечная арматура по расчёту не нужна, поставленной арматуры достаточно. Если условие не выполняется – идём дальше.






