Рассмотрим теперь уравнение (28) с краевыми условиями 2-го или 3-го рода (30):

Будем решать эту задачу с помощью трехточечной разностной схемы (31) с условиями на коэффициенты (34). При этих условиях, как было показано, схема имеет второй порядок аппроксимации. В таком случае возникает вопрос: как аппроксимировать краевые условия? Если пользоваться для этого односторонними разностными производными, как в методе Эйлера, то краевые условия запишутся в виде
,
однако, как хорошо известно (см. п. 4.3.2), такие формулы будут иметь погрешность аппроксимации первого порядка. Чтобы краевые условия не снижали порядок аппроксции разностной схемы (31), необходимо воспользоваться односторонними разностными аппроксимациями производных, имеющими второй порядок по
. Например, для этих целей подходит разностная производная
,
где, как обычно,
. Действительно, по формулам Тейлора
,
,
поэтому
.
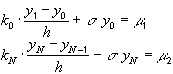
При использовании подобных формул разностные аппроксимации краевых условий принимают вид


В такой ситуации для разрешения трехточечной схемы (31) также может быть использован метод прогонки, рассмотренный в п. 4.12.2. Действительно, уравнение
|
|
|

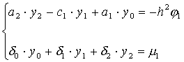
на левом краю интервала составляет с краевым условием систему
,
из которой можно исключить
, при этом система преобразуется в уравнение

с некоторыми вполне определенными коэффициентами
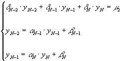
. Действуя аналогично п. 4.12.2, можно записать разностную схему в виде уравнений
,
(40)
где коэффициенты
считаются по рекуррентным формулам (39), исходя из значений
. На правом конце отрезка получаем систему
,
из которой можно найти
, а следом - и все остальные
(по рекуррентным формулам (40)).
[О комплексе|Теория|Практикум|Справочник по MathCAD'у|Об авторах]
[Home|Кафедра|ПетрГУ] 4.12. Общая задача.






