




[О комплексе|Теория|Практикум|Справочник по MathCAD'у|Об авторах] Численное решение задачи Коши для обыкновенных дифференциальных уравнений.
Пример. Решить задачу Коши:
, 
на отрезке
с шагом
с помощью различных методов. Известно точное решение задачи Коши:
.
Начальные данные в пакете MathCAD вводятся для всех методов одинаково:

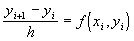
Простейший метод Эйлера первого порядка точности. Введем равномерную сетку
и воспользуемся разностной схемой


Результаты представлены в виде графиков:










