
где
. Значение
определяется с помощью метода Рунге-Кутты. Для решения неявного нелинейного уравнения предлагается воспользоваться методом последовательных приближений:
.
В качестве нулевого приближения
можно использовать решение, полученное с помощью явной двухшаговой схемы Адамса.
Рассмотрим этот процесс на нашем примере. Будем использовать обозначения:
,
,
.
Тогда, используя средства пакета MathCAD, получим:










Численное решение двухточечной краевой задачи для обыкновенного дифференциального уравнения второго порядка.
Тема. Численное решение краевой задачи для линейного дифференциального уравнения второго порядка в самосопряженной форме с краевыми условиями первого рода. Применение разностной схемы второго порядка аппроксимации.
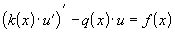
Пример. Дана краевая задача:
,
,
.
Методами теории дифференциальных уравнений можно найти общее решение этого линейного неоднородного уравнения:
.
Умножив дифференциальное уравнение на функцию
, приведем его к самосопряженному виду:
|
|
|
,
где
,
,
. Тогда разностная схем второго порядка аппроксимации будет иметь вид:

где
,
,
. Для решения этой системы линейных уравнений можно применить метод прогонки.






[О комплексе|Теория|Практикум|Справочник по MathCAD'у|Об авторах]
[Home|Кафедра|ПетрГУ]
[Home|Кафедра|ПетрГУ]






