Контрольная работа № 1
Линейная и векторная алгебра. Аналитическая геометрия. Введение в математический анализ.
Задача 1.
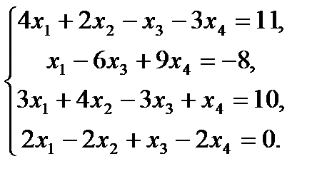
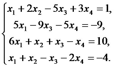
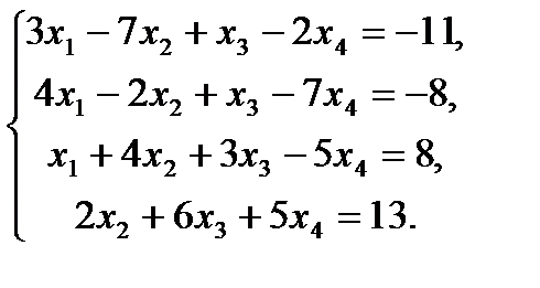
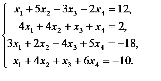
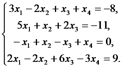
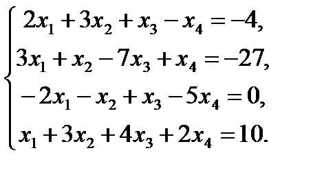
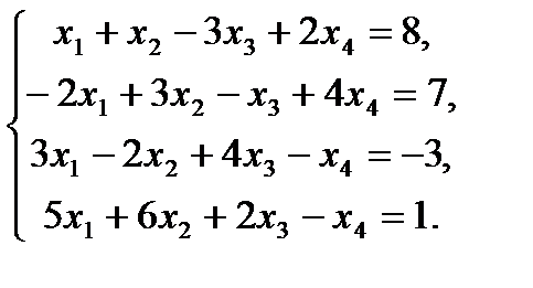
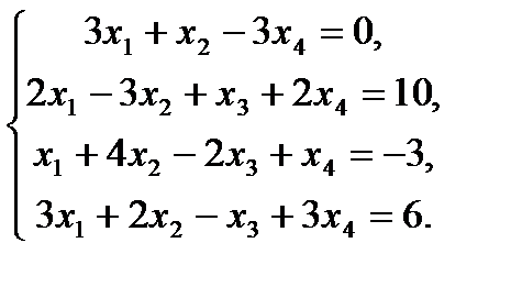
1-10. Применяя метод Гаусса исключения неизвестных, решить систему линейных уравнений. Сделать проверку найденного решения.
| 1. |
| 2. |
|
| 3. |
| 4. |
|
| 5. |
| 6. |
|
| 7. |
| 8. |
|
| 9. |
| 10. |
|






