Оборотные средства в незавершенном производстве авансируются для создания циклового, оборотного и страхового заделов, обеспечивающих бесперебойный ход производственного процесса в цехах и на участках. В натуральном выражении остатки незавершенного производства состоят из необходимого количества деталей, узлов и полуфабрикатов на рабочих местах и между ними. Размер незавершенного производства определяют следующие факторы;
• объем выпускаемой продукции;
• длительность производственного цикла;
• коэффициент нарастания затрат (готовности продукции) в незавершенном производстве.
Объем выпуска продукции влияет на размер незавершенного производства через величину однодневного выпуска продукции, рассчитанного по себестоимости. Объем выпуска продукции определяется на основе имеющихся заказов потребителей и прогнозов сбыта.
Длительность производственного цикла определяет продолжительность нахождения средств в незавершенном производстве (норма запаса в днях). Производственный цикл измеряется в календарных единицах времени (дни, часы, минуты) и содержит следующие элементы: рабочий период, естественные процессы, перерывы. Состав и соотношение между собой отдельных элементов производственного цикла характеризуют его структуру. Длительность производственного цикла в основном определяется технологическими процессами, применяемыми на фирме. Структура производственного цикла зависит также от номенклатуры выпускаемой продукции, типа производства, его организационно-технических условий.
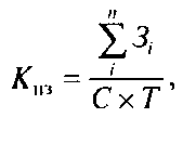
Коэффициент нарастания затрат (Кнз) характеризует уровень готовности продукции в составе незавершенного производства. Необходимость расчета коэффициента нарастания затрат обусловлена тем, что затраты в незавершенном производстве осуществляются в разное время. Обычно их делят на единовременные и остальные затраты. К единовременным затратам относится расход сырья, основных материалов, полуфабрикатов. Остальные затраты (заработная плата, амортизационные отчисления, накладные расходы и т. п.) нарастают постепенно на протяжении всего цикла. Коэффициент рассчитывается как отношение себестоимости незавершенного производства к плановой себестоимости изделия и учитывает длительность производственного цикла. При неравномерном нарастании затрат используют формулу:

где Зi — затраты на i-й период времени нарастающим итогом (i=1, 2, n); С — плановая себестоимость изделия; Т — длительность полного производственного цикла изделия в календарных временных единицах (дни, недели, месяцы).
Пример. Себестоимость продукции — 1000 руб. Длительность производственного цикла — 4 дня. Затраты в 1-й день — 300 руб., во 2-й день —600 руб., в 3-й день — 200 руб., в 4-й день — 200 руб. Определить коэффициент нарастания затрат.

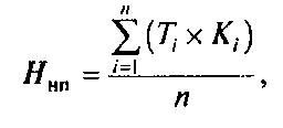
Норма оборотных средств в незавершенном производстве рассчитывается по предприятию в целом или по подразделениям последующим суммированием. Для этого используют формулу

Где Ннп — норма оборотных средств в незавершенном производстве по предприятию в целом; Тi — длительность производственного цикла изделия или подразделения; Кi — коэффициент нарастания изделия или подразделения; n — число групп изделий, подразделений.
Норматив оборотных средств незавершенного производства рассчитывается по формуле

Где С/Т — норма однодневного выпуска продукции по плановой себестоимости; С— полная себестоимость выпускаемой продукции; Т - число календарных дней в периоде.
Пример. Используем данные предыдущего примера из расчета нормы оборотных средств в незавершенном производстве.

