
где Sпр.пл– размер производственной площади в кв. метрах;
Sпл– общая величина площади, находящаяся в распоряжении организации.
12. Основные понятия, состав и источники образования оборотных средств.
Оборотные средства — это авансированная строительной организацией в оборотные фонды и фонды обращения (за вычетом амортизационных отчислений) совокупность денежных средств, которая опосредствует их движение в процессе кругооборота и обеспечивает непрерывность процесса производства и обращения строительной продукции, являясь источником финансирования текущих и (частично) капитальных затрат строительной организации, и состоит из оборотных материальных и финансовых активов. Оборотные средства необходимы организациям (независимо от форм собственности) для образования запасов материальных ценностей, покрытия затрат по незавершенному производству и других целей, а также осуществления расчетов.
Часть оборотных средств, которая функционирует в сфере производства, представляет собой оборотные фонды организации. Другая часть, которая находится в сфере обращения, составляет фонды обращения.
Оборотные фонды — часть производственных фондов, которые, как правило, целиком используются в одном производственном цикле, утрачивают при этом свою первоначальную материально-вещественную форму и полностью переносят свою стоимость на себестоимость строительно-монтажных работ по возведению зданий и сооружений.

В состав оборотных фондов входят производственные запасы и средства в процессе производства.
Производственные запасы - это предметы труда, которые предназначены для обеспечения непрерывности процесса строительного производства, но еще не включенные в производственый процесс. Производственные запасы включают в себя основные материалы, детали и конструкции, вспомогательные материалы, топливо, малоценные и быстроизнашивающиеся предметы.
Основными материалами считаются те материалы, которые непосредственно используются в процессе производства работ, а также для изготовления конструкций, деталей на строительных площадках. В состав основных материалов входят: цемент, лес, песок, щебень, металл, металлоизделия (гвозди, болты, гайки, скобяные изделия и т.д.), санитарно-технические материалы (краны, муфты, лифты, фланцы и др.), кровельные материалы (рубероид, толь, пергамент, кровельное железо и т.д.) и другие материалы. Строительные детали и конструкции представляют собой законченные составные элементы, из которых монтируются здания и сооружения: детали — дверные и оконные коробки, дверные полотна, архитектурные детали и т.п.; конструкции — фермы, колонны, стеновые панели, лестничные марши и площадки и т.п.
Вспомогательные материалы непосредственно не входят в состав строящихся объектов. Они необходимы для обслуживания производственных процессов строительства. Это материалы, которые используются в процессе эксплуатации строительной техники и оборудования (смазочные, обтирочные материалы и др.) или обслуживают процесс производства работ (например, взрывчатые вещества). В эту составную часть производственных запасов входят также запасные части для машин и оборудования, инвентарная тара (бочки, мешки, ящики и другие виды тары), используемая для упаковки поступающих на строительство материалов, и топливо.
Малоценные и быстроизнашивающиеся предметы (МБП) — это часть оборотных фондов, в которую входят:
– предметы, служащие менее одного года, независимо от стоимости;
– специальные интсрументы и приспособления, сменное оборудование независимо от стоимости;
– специальная одежда и обувь, а также постельные принадлежности для общежитий независимо от их стоимости и срока службы.
Малоценные и быстроизнашивающиеся предметы (МБП) по своей экономической природе близки к основным фондам, так как переносят свою стоимость на производимую продукцию по частям, по мере износа. По порядку их приобретения МБП аналогичны материалам.
Поэтому отнесение МБП к оборотным фондам и к запасам несколько условно,- так как большая их часть находится не в запасах на складах, а в эксплуатации такой порядок принят, чтобы упростить и облегчить учет и планирование малоценных и быстроизнашивающихся предметов, так как их номенклатура весьма обширна.
По составу и функциональной роли МБП подразделяются следующим образом:
1. Инструменты и приспособления общего пользования: режущие, абразивные, ударные, слесарно-сборочные, измерительные и другие инструменты и приспособления, которые имеют универсальное применение и не связаны с выполнением определенного вида работ. Инструменты и приспособления специального назначения: режущие, измерительные и другие инструменты и приспособления, которые используются при производстве конкретных видов работ.
2. Сменное оборудование — предметы, представляющие собой части машин и оборудования, используемые для замены изношенных частей без ремонта.
3. Малоценный хозяйственный инвентарь — предметы, которые используются для хозяйственных нужд (конторская мебель, часы, огнетушители и т.д.).
4. Специальная одежда и специальная обувь — предметы индивидуальной защиты от вредных условий производства или предметы, предохраняющие рабочего и его одежду от преждевременного износа (рукавицы, очки, фартуки, комбинезоны и т.д.).
5. Постельные принадлежности — подушки, наволочки, матрацы, простыни, используемые в общежитиях, находящихся на балансе строительной организации.
Производственные запасы, вступая в процесс производства, становятся средствами в процессе производства и называются оборотными фондами в процессе производства.
К оборотным фондам в процессе производства относятся незавершенное производство по строительно-монтажным работам, подсобному производству, а также расходы будущих периодов.
Незавершенное производство строительно-монтажных работ является материальной технологически незавершенной частью строительного производства, без которой процесс производства не может осуществляться непрерывно. В состав незавершенного производства строительно-монтажных работ входят незаконченные работы по конструктивным элементам и видам строительно-монтажных работ, которые не могут быть включены в акты приемки выполненных работ и оплачены заказчиком в соответствий с существующими правилами расчетов за выполненные работы.
Расходы будущих периодов имеют своей целью подготовку производственного процесса и предназначены для обеспечения бесперебойного строительного производства. В их состав входит, например, затраты на строительство временных нетитульных зданий и сооружений: бытовок, столовых, буфетов и т.д., расходы по доставке и монтажу машин на строительных площадках, по испытанию конструкций и материалов, по вскрышным работам на карьерах и др.
Особенностью этих расходов является то, что осуществляются они единовременно в данном отчетном периоде, а списываются на себестоимость строительно-монтажных работ по частям, так как они связаны с производством не только текущего, но и будущих периодов. В эту же группу оборотных фондов включается и незавершенное производство по предприятиям, находящимся на балансе строительной организации.
Каждая строительная организация осуществляет хозяйственную деятельность не только в сфере производства, но и в сфере обращения, реализуя готовую продукцию, работы, услуги и покупая необходимые материально-технические ресурсы. Поэтому, помимо оборотных фондов, в состав оборотных средств входят также фонды обращения, включающие в себя средства в расчетах и денежные средства.
К средствам в расчетах относятся суммы по предъявленным заказчикам счетам за выполненные работы, срок оплаты по которым еще не наступил. Причина образования этих сумм заключается в том, что реализация готовой строительной продукции требует определенного времени, в течение которого ранее затраченные средства находятся в стадии расчетов с заказчиками. К средствам в расчетах относятся также деоиторская задолженность за товары и услуги, по выданным авансам, полученным строительной организацией векселям, суммы за подотчетными лицами и др.
В эту же статью входят суммы задолженностей поставщикам за товары и услуги, по выданным векселям, по авансам, полученные для оплаты труда, по расчетам с бюджетом и организациями страхования и др. Перечисленные суммы задолженностей — это долговые обязательства строительной организации, которые и являются ее кредиторской задолженностью.
Денежные средства — сумма наличных денежных средств в кассе организации, свободные денежные средства, хранящиеся на расчетном, валютном и прочих счетах в банке, а также ценные бумаги (акции, облигации, сберегательные сертификаты векселя) и прочие денежные средства строительной организации
Соотношение между отдельными элементами оборотных средств показывает их структуру. Структура оборотных средств выражается обычно через процентное содержание каждого элемента затрат в общей их стоимости. Она зависит от характера выполняемых работ, их трудоемкости и материалоемкости, от степени механизации работ, уровня сборности строительства, форм расчета с заказчиками за выполненные работы и ряда других факторов.
Оборотные средства строительных организаций по источникам формирования подразделяются на собственные и заемные.
Собственные оборотные средства предназначены для покрытия минимальной потребности по созданию производственных запасов, задела по незавершенному производству работ и затратам для обеспечения нормальной и бесперебойной работы строительной организации.
Источниками собственных оборотных средств являются уставный капитал, прибыль, а также добавочный и резервный капиталы.
Уставный капитал представляет собой совокупность денежных вкладов учредителей в имущество организации при ее создании. Предназначен для обеспечения деятельности создававаемой организации в размерах, определенных учредительным документом (уставом организации).
Прибыль характеризует финансовый результат деятельности организации и используется как источник средств для пополнения собственных оборотных средств при увеличении объема работ или изменения условий производства.
Добавочный капитал образуется за счет переоценки основных фондов в сторону их увеличения, безвозмездного поступления различных активов от юридических и физических лиц, а также за счет продажи собственных ценных бумаг. Предназначен для образования собственных средств организации.
Резервный капитал образуется за счет прибыли организации и предназначен для покрытия непредвиденных потерь и убытков, в том числе и по оборотным средствам, а также выплаты дивидендов по привилегированным акциям в случае, когда для этих целей недостаточно прибыли.
Важным внутренним источником оборотных средств является устойчивые пассивы, к которым относятся: минимальная переходящая задолженность по заработной плате работникам и служащим, задолженность по отчислениям в фонды обязательного социального, медицинского страхования, пенсионный фонд и фонд занятости населения, задолженность субподрядчикам, поставщикам материально-технических ресурсов, а также задолженность по налогам, сборам и платежам в бюджеты и другие виды задолженностей.
Заемными средствами называются средства, привлекаемые строительными организациями из различных источников финансирования. Эти средства не закрепляются безвозмездно за организациями, а участвуют в их обороте временно.
13. Нормирование оборотных средств в строительных организациях.
Нормирование оборотных средств – ϶ᴛᴏ процесс определения минимальной, но достаточной для нормального протекания производственного процесса величины оборотных средств на предприятии.
Норматив производственных запасов определяется по формуле:
Нп. з = Qсут * N,
где Qсут – среднедневной расход материалов, руб.;
N – норма запаса для данного элемента оборотных средств, дни.
Норма запаса складывается из текущего, подготовительного, страхового, транспортного и технологического запасов:
N = Nт. з + Nп. з + Nстр + Nтр + Nтехн.
Отметим, что текущий запас – основной вид запаса, обеспечивающий непрерывность процесса производства продукции. На размер текущего запаса влияют периодичность поставок по договорам и объем потребления материалов в производстве. Стоит заметить, что он принимается обычно на уровне половины среднего интервала между поставками. Средний интервал между равномерными поставками (цикл снабжения) определяется путем деления 360 дней на число планируемых поставок.
Страховой, или гарантийный, запас необходим на случай непредвиденных обстоятельств (например, в случае недопоставки сырья) и устанавливаетсятрадиционно в размере 50 % текущего запаса, но может быть и меньше ϶ᴛᴏй величины в зависимости от местоположения поставщиков и вероятности перебоев.
Транспортный запас создается исключительно в случае превышения сроков грузооборота в сравнении со сроками документооборота. Документооборот – время на высылку расчетных документов и сдачу их в банк, время на обработку документов в банке, время почтового пробега документов. На практике транспортный запас определяется на базе фактических данных за предшествующий период.
Отметим, что технологический запас создается в период подготовки материалов к производству, включая анализ и лабораторные испытания. Отметим, что технологический запас учитывается исключительно в том случае, если не будет частью процесса производства.
Подготовительный запас устанавливается на основании технологических расчетов или посредством хронометража и относится к материалам, кᴏᴛᴏᴩые не могут сразу идти в производство (сушка древесины, обработка зерна).
Общий норматив оборотных средств представляет собой сумму частных нормативов:
Нобщ = Нп. з + Нн. п + Нг. п + Нб. р,
где Нпз – норматив производственных запасов;
Нн. п – норматив незавершенного производства;
Нг. п – норматив готовой продукции;
Нб. р – норматив расходов будущих периодов, все слагаемые общего норматива оборотных средств должны быть представлены в денежном выражении.
Норматив оборотных средств по расходам будущих периодов определяется по формуле:
Нб. р = П + Р – С,
где П – переходящая сумма расходов будущих периодов на начало планируемого года (берется из бухгалтерского баланса);
Р – расходы будущих периодов в предстоящем году (определяются на базе плана научно-технического развития предприятия);
С – Расходы будущих периодов, подлежащие списанию на себестоимость продукции предстоящего года в ϲᴏᴏᴛʙᴇᴛϲᴛʙии с плановой сметой затрат на производство.
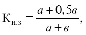
Норматив оборотных средств по незавершенному производству определяется по формуле:
Нн. п = Vсут. Тц. Кн. з,
где Vсут – плановый среднесуточный объем выпуска продукции по производственной себестоимости;
Тц – длительность производственного цикла, дни;
Кнз – коэффициент нарастания затрат.
На предприятиях с равномерным выпуском продукции коэффициент нарастания затрат можно определить по формуле:

где а – затраты, производимые единовременно в начале процесса производства (сырье, основные материалы, полуфабрикаты);
в – последующие затраты до окончания производства готовой продукции (например, заработная плата, амортизационные отчисления).
Норматив оборотных средств по запасам готовой продукции:
Нг. п = Vсут (Тф. п + То. д),
где Тфп – время, необходимое для формирования партии для отправки готовой продукции потребителю, дни;
Тод – время, необходимое для оформления документов для отправки груза потребителю, дни.
14. Показатели эффективности использования оборотных средств в строительстве.
Эффективность использования оборотных средств характеризуется следующими показателями.
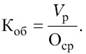
Коэффициент оборачиваемости оборотных средств (Коб) показывает число оборотов, совершенных оборотными средствами за анализируемый период (квартал, полугодие, год). Стоит заметить, что он рассчитывается как отношение объема реализованной продукции к среднему остатку оборотных средств за отчетный период:

Чем больше коэффициент оборачиваемости, тем более эффективно предприятие использует оборотные средства.
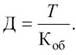
Длительность одного оборота в днях показывает, за какой срок оборотные средства совершают полный оборот, т. е. возвращаются к предприятию в виде выручки от реализации продукции. рассчитывается путем деления количества дней в отчетном периоде (год, полугодие, квартал) на коэффициент оборачиваемости:

Коэффициент загрузки средств в обороте характеризует сумму оборотных средств, авансируемых на один рубль выручки от реализации продукции. По аналогии с фондоемкостью основных средств ϶ᴛᴏт показатель представляет собой оборотную фондоемкость, т. е. затраты оборотных средств (в копейках) на один рубль реализованной продукции:

Эффективное использование оборотных средств заключается не только в ускорении их оборачиваемости, но и в снижении затрат на производство и реализацию продукции вследствие экономии отдельных элементов оборотных средств (сырья, материалов, энергии). Не стоит забывать, что важнейшим обобщающим показателем эффективности использования материальных ресурсов на предприятии принято считать материалоемкость продукции (Ме) – отношение суммы материальных затрат к объему выпуска или реализации продукции:

Обратным показателем материалоемкости выступает материалоотдача, кᴏᴛᴏᴩая определяется по формуле:

На основе проведенного анализа эффективности использования оборотных средств намечаются пути ускорения их оборачиваемости. Ускорение оборачиваемости достигается различными мероприятиями на стадиях образования производственных запасов, производства и реализации готовой продукции.
Управление использованием оборотных средств предполагает реализацию следующих путей ускорения оборачиваемости:
·интенсификация производственных процессов, сокращение длительности производственного цикла, устранение разного рода простоев и перерывов в работе, сокращение времени естественных процессов;
·экономное использование сырьевых и топливно-энергетических ресурсов: применение рациональных норм расхода сырья и материалов, внедрение безотходного производства, поиск более дешевого сырья, совершенствование системы материального стимулирования экономии ресурсов. Все вышеперечисленные мероприятия позволят снизить материалоемкость производимой продукции;
·совершенствование организации основного производства: ускорение НТП, внедрение прогрессивной техники и технологии, улучшение качества инструмента, оснастки и приспособлений, развитие стандартизации, унификации, типизации, оптимизация форм организации производства (специализация, кооперирование, рационализация межзаводских связей);
·совершенствование организации вспомогательного и обслуживающего производства: комплексная механизация и автоматизация вспомогательных и обслуживающих операций (транспортных, складских, погрузочно-разгрузоч-ных), расширение складской системы, применение автоматизированных систем складского учета;
·улучшение работы с поставщиками: приближение поставщиков сырья, материалов и полуфабрикатов к потребителям, уменьшение интервала между поставками, ускорение документооборота, использование прямых длительных связей с поставщиками;
·улучшение работы с потребителями продукции: приближение потребителей продукции к изготовителям, совершенствование системы расчетов (отпуск продукции на условиях предоплаты, что сократит дебиторскую задолженность), увеличение объема реализованной продукции вследствие выполнения заказов по прямым связям, тщательная и ϲʙᴏевременная подборка и отгрузка продукции по партиям и ассортименту, уменьшение запасов готовой продукции вследствие совершенствования планирования отгрузки готовой продукции;
·применение логистических подходов в управлении закупками, организации производства, в сфере сбыта готовой продукции, что позволит сократить длительность кругооборота оборотных средств и уменьшить издержки производства и реализации.
15. Трудовые ресурсы и эффективность их использования в строительстве.
Трудовые ресурсы - это трудоспособная часть населения, которая, обладая физическими и интеллектуальными возможностями, способна производить материальные блага или оказывать услуги.
В структуре трудовых ресурсов с позиции их участия в общественном производстве выделяют две части: активную (функционирующую) и пассивную (потенциальную). Таким образом, трудовые ресурсы состоят из реальных и потенциальных работников.
К трудовым ресурсам в России относятся: а) население в трудоспособном возрасте, за исключением неработающих инвалидов труда и войны I и П групп и неработающих лиц трудоспособного возраста, получающих пенсии по старости на льготных условиях; б) население моложе и старше трудоспособного возраста, занятое в народном хозяйстве.
В свою очередь, промышленно-производственный персонал в зависимости от выполняемых им функций классифицируется на следующие категории: рабочие, руководители, специалисты, служащие.
·К рабочим относятся работники предприятия, непосредственно занятые созданием материальных ценностей или оказанием производственных и транспортных услуг. Рабочие, в свою очередь, подразделяются на основных и вспомогательных. К основным относятся рабочие, которые непосредственно связаны с производством продукции, к вспомогательным - обслуживанием производства. Это деление чисто условное, и на практике иногда их трудно разграничить.
·К специалистам на предприятии относятся работники, занятые инженерно-техническими, экономическими, бухгалтерскими, юридическими и другими аналогичными видами деятельности. Это бухгалтеры, экономисты, техники, механики, психогоги, социологи, художники, товароведы, технологи и др.
·К служащим на предприятии относятся работники, осуществляющие подготовку и оформление документации, учет и контроль, хозяйственное обслуживание и делопроизводство. Это агенты по снабжению, машинистки, секретари-машинистки, кассиры, контролеры, делопроизводители, табельщики, экспедиторы, чертежники.
·По уровню, занимаемому в общей системе управления народным хозяйством, все руководители подразделяются на: руководителей низового звена, среднего и высшего звена.
К руководителям низового звена принято относить мастеров, старших мастеров, прорабов, начальников небольших цехов, а также руководителей подразделений внутри функциональных отделов и служб.
Руководителями среднего звена считаются директорами предприятий, генеральные директора всевозможных объединений и их заместители, начальники крупных цехов.
К руководящим работникам высшего звена обычно относятся руководители ФПГ, генеральные директора крупных объединений, руководители функциональных управлений министерств, ведомств и их заместители.
Для правильной организации труда важно знать, какое количество труда требуется для выполнения той или иной работы. Необходимо установить меру труда каждого работника, т.е. правильно установить нормы труда.
Нормирование труда — определение максимально допустимого количества времени для выполнения конкретной работы или операции в условиях данного производства (минимально допустимого количества продукции, изготовленной в единицу времени: час, смена). Нормирование труда предполагает определение величины, и структуры рабочего времени.
Нормы труда различают в зависимости от единицы измерения труда: норма времени, выработки, нормы обслуживания, нормы численности, нормированное задание, технически обоснованные нормы, опытно-статистические нормы.
Норма времени — время, необходимое на изготовление единицы продукции одним работником или группой работников в данных организационно-технических условиях.
Норма выработки — количество изделий, операций, которое должно быть изготовлено в единицу рабочего времени одним работником или их группой в определенных организационно-технических условиях.
Норма обслуживания — зона работы или количество единиц оборудования, которое должно быть изготовлено одним работником или группой работников определенной квалификации в определенных организационно-технических условиях.
Норма численности — численность рабочих определенной квалификации для выполнения определенного объема работ.
Разновидностью норм численности является норма управляемости, показывающая, сколько работников может быть в подчинении у одного руководителя. В зависимости от уровня управления она может быть от 3 до 15 человек.
Норма штучного времени — необходимые затраты времени на выполнение единицы работы. Нормированное задание — установление конкретных объемов Работ, которые должны быть выполнены в данных условиях за определенный период.
По сфере применения нормы труда делятся на республиканские и отраслевые.
По сложности структуры нормы труда подразделяются на дифференцированные, укрупненные, комплексные.
Дифференшрованные нормы устанавливаются на одну рабочую операцию.
Укрупненные нормы устанавливаются на изделие, технологический процесс или определенный объем работы.
Комплексные нормы устанавливаются на конечный укрупненный измеритель, который характеризует комплекс взаимосвязанных работ (например, на добычу одной тонны угля).
По сроку действия нормы труда могут быть разовые, сезонные, временные.
Основными методами нормирования труда являются опытно-статистический и аналитический. Наиболее прогрессивным методом является аналитический метод, так как он предполагает научные подходы к формированию норм труда. Опытно-статистический метод только фиксирует сложившееся положение в предыдущий плановый период и рассматривает его как базу сравнения для нового периода.
Аналитический метод нормирования труда включает в себя ряд взаимосвязанных элементов:
• трудовой процесс расчленяется на составные элементы я исследуется;
• изучаются все факторы, влияющие на затраты труда;
• проектируются более совершенные варианты операций и методы ее выполнения;
• рассчитывается время на выполнение работы;
• нормы внедряются в производство.
Для правильной организации труда важно знать, какое количество труда требуется для выполнения той или иной работы. Необходимо установить меру труда каждого работника, т.е. правильно установить нормы труда.
16. Факторы и резервы роста производительности труда в строительстве.
В зависимости от характера и степени влияния на уровень производительности труда факторы можно объединить в следующие группы: материально-технические, организационно-экономические, социально-психологические, природно-климатические, политические, фактор собственности.
Материально-технические факторы связаны с использованием новой техники, прогрессивных технологий, новых видов сырья и материалов. Решение задач совершенствования производства здесь достигается:
· модернизацией оборудования;
· заменой морально устаревшего оборудования новым, более производительным;
· повышением уровня механизации производства: механизацией ручных работ, внедрением средств малой механизации, комплексной механизацией работ на участках и в цехах;
· автоматизацией производства;
· внедрением новых прогрессивных технологий;
· использованием новых видов сырья, прогрессивных материалов.
Организационно-экономические факторы определяются уровнем организации труда, производства и управления. К ним относится совершенствование организации управления Производством: структуры аппарата управления, систем управления производством, внедрение и развитие автоматизированных систем управления производством.
Социально-психологические факторы определяются качеством трудовых коллективов, их социально-демографическим составом, уровнем подготовки, трудовой активности, стилем руководства в подразделениях и на предприятии в целом, что формирует морально-психологический климат Природно-климатические факторы оказывают значительное влияние на ход строительства в силу того, что абсолютное большинство строительных работ производится на открытом воздухе. Эти факторы должны учитываться на начальном этапе проектирования строительного процесса.
Политические и законодательные факторы регулируют процессы налогообложения, инвестирования, лицензирования, таможенного регулирования и др.; определяют направление развития всех отраслей народного хозяйства, в том числе строительства.
Фактор собственности. В современных условиях принципиального изменения экономического механизма в стране, связанного с изменением форм собственности на средства производства и результаты труда, экономика строительства (как прикладная научная дисциплина) также претерпевает серьезные изменения. Это приводит к новым экономическим отношениям на базе предпринимательства и конкуренции, создает предпосылки для ликвидации отчуждения человека от средств производства.
По времени использования резервы производительности труда подразделяются на текущие и перспективные.
Текущие резервы могут быть реализованы в ближайшем периоде и, как правило, не требуют значительных единовременных затрат. К их числу можно отнести лучшее использование оборудования, ликвидацию или сокращение брака, применение наиболее рациональных и эффективных систем оплаты труда, совершенствование организации труда на предприятии и его нормирование.
Перспективные резервы роста производительности труда обычно требуют перестройки производства, внедрения новых технологий и т.д., для этого необходимы дополнительные капитальные вложения и значительные сроки осуществления работ.
Исходя из содержательной стороны определения производительности, а именно как отношения объема продукции к произведенным затратам, она может повышаться в четырех случаях:
· когда объем продукции растет, а затраты снижаются (классический случай);
· объем продукции растет быстрее, чем затраты;
· объем продукции остается без изменения, а затраты снижаются;
· объем продукции снижается более медленными темпами, чем затраты.
Билет 19. Участие государства в регулировании рынка труда.
Государственное регулирование экономики – это ситема мер законодательного, исполнительного, контролирующего характера для стабилизации и приспособления экономики к изменяющимся условиям, т.е. организованная деятельность государства по выполнению им экономической функции. Масштабы вмешательства в экономику зависят как от уровня экономического развития, так и от национальной специфики (традиционная роль государства в обществе; социальный, религиозный, этический менталитет). Одна из основных и самых сложных задач государственного регулирования рыночной экономики – достижение оптимального баланса между рынком и гос. вмешательством в его механизмы. Абсолютная либеризация рынка так же недопустима, как и тотальное огосударствление в целом.