1) По условию представлен интервальный ряд распределения. Его необходимо выразить дискретно, то есть найти середину интервала (х'). В группах закрытых интервалов середину найдем по простой средней арифметической. В группах с верхней границей - как разность между этой верхней границей и половиной размера следующего за ним интервала (200-(400-200):2=100).
В группах с нижней границей – суммой этой нижней границы и половины размера предыдущего интервала (800+(800-600):2=900).
Расчет средней величины товарной продукции делаем по формуле:
Хср = k×((Σ((х'-a):k)×f):Σf)+a. Здесь а=500 - размер варианта при наибольшей частоте, k=600-400=200 - размер интервала при наибольшей частоте. Результат поместим в таблицу:
|
Итак, средняя величина товарной продукции за изучаемый период в целом равна Хср = (-5:37)×200+500=472,97 тыс. руб.
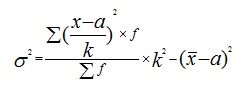
2) Дисперсию найдем по следующей формуле:
|
σ2 = (33/37)*2002-(472,97-500)2 = 35 675,67-730,62 = 34 945,05
3) среднее квадратическое отклонение: σ = ±√σ2 = ±√34 945,05 ≈ ±186,94 тыс. руб.
4) коэффициент вариации: V = (σ /Хср)*100 = (186,94 / 472,97)*100 = 39,52%
тема №4






