Решение. 1) Составим расчетную таблицу для банка с рекламой

1) Составим расчетную таблицу для банка с рекламой. Для определения среднего размера вклада за месяц найдем середины интервалов. При этом величина открытого интервала (первого) условно приравнивается к величине интервала, примыкающего к нему (второго).

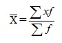
Средний размер вклада найдем по формуле средней арифметической взвешенной:

= 29 000/50 = 580 руб.

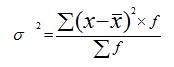
Дисперсию вклада найдем по формуле:

= 23 400/50 = 468

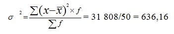
Аналогичные действия произведем для банка без рекламы:

2) Найдем средний размер вклада для двух банков вместе. Хср =(580×50+542,8×50)/100 = 561,4 руб.

3) Дисперсию вклада, для двух банков, зависящую от рекламы найдем по формуле: σ2=pq (формула дисперсии альтернативного признака). Здесь р=0,5 – доля факторов, зависящих от рекламы; q=1-0,5, тогда σ2=0,5*0,5=0,25.

4) Поскольку доля остальных факторов равна 0,5, то дисперсия вклада для двух банков, зависящая от всех факторов кроме рекламы тоже 0,25.

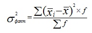
5) Определим общую дисперсию, используя правило сложения.

= (468*50+636,16*50)/100=552,08

= [(580-561,4)250+(542,8-561,4)250] / 100= 34 596/ 100=345,96

σ2 = σ2факт + σ2ост = 552,08+345,96 = 898,04

6) Коэффициент детерминации η2 = σ2факт / σ2 = 345,96/898,04 = 0,39 = 39% - размер вклада на 39% зависит от рекламы.

7) Эмпирическое корреляционное отношение η = √η2 = √0,39 = 0,62 – связь достаточно тесная.

Задача 2. Имеется группировка предприятий по величине товарной продукции:

Определить: 1) дисперсию величины товарной продукции; 2) среднее квадратическое отклонение; 3) коэффициент вариации.





Подборка статей по вашей теме: