Как известно, в статистике существует два способа наблюдения массовых явлений в зависимости от полноты охвата объекта: сплошное и несплошное. Разновидностью несплошного наблюдения является выборочное наблюдение.
Под выборочным наблюдением понимается несплошное наблюдение, при котором статистическому обследованию (наблюдению) подвергаются единицы изучаемой совокупности, отобранные случайным образом.
Выборочное наблюдение ставит перед собой задачу – по обследуемой части дать характеристику всей совокупности единиц при условии соблюдения всех правил и принципов проведения статистического наблюдения и научно организованной работы по отбору единиц.
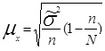
Совокупность отобранных для обследования единиц в статистике принято называть выборочной совокупностью, а совокупность единиц, из которых производится отбор, называют генеральной совокупностью. Основные характеристики генеральной и выборочной совокупности представлены в таблице 1.
| Таблица 1 - Основные характеристики генеральной и выборочной совокупности | |||
| Показатель | Обозначение или формула | ||
| Генеральная совокупность | Выборочная совокупность | ||
| Число единиц | N | n | |
| Число единиц, обладающих каким-либо признаком | M | m | |
| Доля единиц, обладающих этим признаком | p = M/N | ω = m/n | |
| Доля единиц, не обладающих этим признаком | q = 1 - p | 1 - ω | |
| Средняя величина признака | | | |
| Дисперсия признака | | | |
| Дисперсия альтернативного признака (дисперсия доли) | pq | ω (1 - ω) | |
При проведении выборочного наблюдения возникают систематические и случайные ошибки. Систематические ошибки возникают в силу нарушения правил отбора единиц в выборку. Изменив правила отбора, от таких ошибок можно избавиться.
Случайные ошибки возникают в силу несплошного характера обследования. Иначе их называют ошибками репрезентативности (представительности). Случайные ошибки разделяют на средние и предельные ошибки выборки, которые определяются как при расчете признака, так и при расчете доли.
Средние и предельные ошибки связаны следующим соотношением: Δ = tμ, где Δ - предельная ошибка выборки, μ - средняя ошибка выборки, t - коэффициент доверия, определяемый в зависимости от уровня вероятности. В таблице 2 приведены некоторые значения t, взятые из теории вероятностей.
| Таблица 2 - Соответствие некоторых значений вероятностей коэффициенту доверия | ||||||
| Вероятность, Р | 0,683 | 0,866 | 0,954 | 0,988 | 0,997 | 0,999 |
| Значение t | 1,0 | 1,5 | 2,0 | 2,5 | 3,0 | 3,5 |
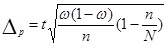
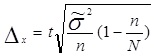
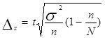
Величина средней ошибки выборки рассчитывается дифференцированно в зависимости от способа отбора и процедуры выборки. Основные формулы для расчета ошибок выборки представлены в таблице 3.
| Таблица 3 - Основные формулы для расчета ошибок выборки при повторном и бесповторном отборе | |||
| Показатель | Обозначение и формула | ||
| Генеральная совокупность | Выборочная совокупность | ||
| Средняя ошибка признака при случайном повторном отборе | | | |
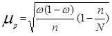
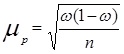
| Средняя ошибка доли при случайном повторном отборе | | | |
| Предельная ошибка признака при случайном повторном отборе | | | |
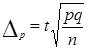
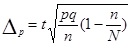
| Предельная ошибка доли при случайном повторном отборе | | | |
| Средняя ошибка признака при случайном бесповторном отборе | | | |
| Средняя ошибка доли при случайном бесповторном отборе | | | |
| Предельная ошибка признака при случайном бесповторном отборе | | | |
| Предельная ошибка доли при случайном бесповторном отборе | | |
Расчет средней и предельной ошибок выборки позволяет определить возможные пределы, в которых будут находиться характеристики генеральной совокупности.
|
Например, для выборочной средней такие пределы устанавливаются на основе следующих соотношений:
|
- пределы доли признака в генеральной совокупности р.