Анализ скорости и интенсивности развития явления во времени осуществляется с помощью статистических показателей, возникающих в результате сравнения уровней между собой. К таким показателям относятся: абсолютный прирост, темп роста и прироста, абсолютное значение одного процента прироста. При этом принято сравниваемый уровень называть отчетным, а уровень, с которым происходит сравнение - базисным.
Абсолютный прирост (Δу) характеризует размер увеличения (или уменьшения) уровня ряда за определенный промежуток времени. Он равен разности двух сравниваемых уровней и выражает абсолютную скорость роста: Δy = уi-yi-k (i=1,2,3,...,n). Если k=1, то уровень yi-1 является предыдущим для данного уровня, а абсолютные приросты изменения уровня будут цепными. Если же k постоянны для данного ряда, то абсолютные приросты будут базисными.
Показатель интенсивности изменения уровня ряда - в зависимости от того, выражается ли он в виде коэффициента или в процентах, принято называть коэффициентом роста (темпом роста). Темп роста (t) показывает во сколько раз данный уровень ряда больше базисного уровня (если этот коэффициент больше единицы) или какую часть базисного уровня составляет уровень текущего периода за некоторый промежуток времени (если он меньше единицы): t = yi / yi-1или t = yi / y1
Темпа прироста (Δt), характеризует относительную скорость изменения уровня ряда в единицу времени. Темп прироста показывает, на какую долю (или процент) уровень данного периода или момента времени больше (или меньше) базисного уровня. Находят темп прироста как отношение абсолютного прироста к уровню ряда, принятого за базу: Δt = Δy / yi-1 или Δt = Δy / y1 или Δt = t-1 (Δt = t-100%). Если темп роста всегда положительное число, то темп прироста может быть положительным, отрицательным и равным нулю.
В статистической практике часто вместо расчета и анализа темпов роста и прироста рассматривают абсолютное значение одного процента прироста (А). Оно представляет собой одну сотую часть базисного уровня и в то же время - отношение абсолютного прироста к соответствующему темпу прироста: А= Δy /(Δt*100) = yi-1/100
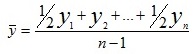
Средний уровень ряда динамики рассчитывается по средней хронологической. Средней хронологической называется средняя, исчисленная из значений, изменяющихся во времени. Такие средние обобщают хронологическую вариацию. В хронологической средней отражается совокупность тех условий, в которых развивалось изучаемое явление в данном промежутке времени. Формулы для вычисления средних показателей ряда динамики представлены в таблице.
| Таблица - Формулы для вычисления средних показателей ряда динамики | |
| Показатель | Обозначение и формула |
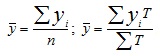
| Средний уровень интервального ряда динамики |
|
| Средний уровень моментного ряда динамики |
|
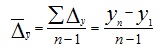
| Средний абсолютный прирост за весь период |
|
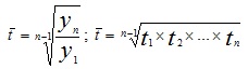
| Средний темп роста |
|
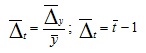
| Средний темп прироста |
|






