Как известно, «индекс» в переводе с латинского означает «указатель» или «показатель». В статистике индексом называют показатель относительного изменения данного уровня исследуемого явления по сравнению с другим его уровнем, принятым за базу сравнения. В качестве такой базы может быть использован или уровень за какой-либо прошлый период времени (динамический индекс), или уровень того же явления по другой территории (территориальный индекс).
В статистической практике индексы являются незаменимым инструментом исследования в тех случаях, когда необходимо сравнить во времени или пространстве две совокупности, элементы которых непосредственно суммировать нельзя. В целом, индексный метод направлен на решение следующих задач:
- характеристика общего изменения уровня сложного социально-экономического явления;
- анализ влияния каждого из факторов на изменение индексируемой величины путем элиминирования воздействия прочих факторов;
- анализ влияния структурных сдвигов на изменение индексируемой величины.
Простейшим показателем, используемым в индексном анализе, является индивидуальный индекс (i), который характеризует изменение во времени экономических величин, относящихся к одному объекту:
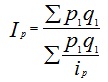
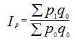
- индекс цены: ip = p1/p0, где p1 - цена товара в текущем периоде, p0 - цена товара в базисном периоде;
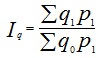
- индекс физического объема реализации (количества товара): iq = q1/q0, где q1 – физический объем реализации товара в текущем периоде, q0 – физический объем реализации товара в базисном периоде;
- индекс товарооборота: ipq = p1q1/p0q0;
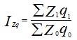
- индекс себестоимости произведенной продукции: iz=z1/z0, где z1 – себестоимость произведенной продукции в текущем периоде, z0 – себестоимость произведенной продукции в базисном периоде.
В тех случаях, когда исследуются не единичные объекты, а состоящие из нескольких элементов совокупности, используются сводные (общие) индексы (I). Исходной формой сводного индекса является агрегатная форма. Формулы для вычисления общих индексов представлены в таблице.
| Таблица - Формулы для вычисления сводных (общих) экономических индексов | |
| Показатель | Обозначение и формула |
| Агрегатный индекс товарооборота | |
| Агрегатный индекс затрат | |
| Агрегатный индекс цен (по методу Пааше) | |
| Агрегатный индекс цен (по методу Ласпейреса) | |
| Агрегатный индекс объема (по методу Пааше) | |
| Агрегатный индекс объема (по методу Ласпейреса) | |
| Среднеарифметический индекс цен | |
| Среднегармонический индекс цен | |
| Абсолютное изменение товарооборота в целом | |
| Абсолютное изменение товарооборота за счет изменения цен | |
| Абсолютное изменение товарооборота за счет изменения объема | |






