Решение. Зная коэффициент общего прироста населения (Кобщ=6‰) и коэффициент естественного прироста населения (Кn-m=4‰)

Зная коэффициент общего прироста населения (Кобщ=6‰) и коэффициент естественного прироста населения (Кn-m=4‰), найдем коэффициент миграции населения из формулы:
Кобщ = Кn-m + Кмиг, отсюда Кмиг = Кобщ - Кn-m = 6 – 4 = 2‰.

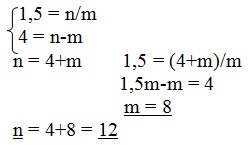
Поскольку известны коэффициент жизненности населения (Кжизн=1,5‰) и коэффициент естественного прироста населения (Кn-m=4‰), то найдем общий коэффициент рождаемости (n) и общий коэффициент смертности (m), используя формулы: Кжизн = n/m; Кn-m = n-m

Зная общий коэффициент рождаемости, общий коэффициент смертности и среднегодовую численность населения (580 тыс. чел.), найдем число родившихся (N) и число умерших (M) за год.

Найдем абсолютный естественный прирост численности населения: Ае = N-M = 6,96-4,64 = 2,32 тыс.чел.

Найдем абсолютный миграционный прирост, воспользовавшись свойством пропорции: Ам = (Ае* Кмиг): Кn-m= 2,32*2/4=1,16 тыс.чел.

Тогда общий прирост населения за 2012 год будет равен 2,32+1,16 = 3,48тыс.чел.

Численность населения на начало и конец 2012 г. найдем из формулы: Sср = (S1+Sn)/2, где S1 - численность населения на начало 2012 г., Sn=S1+3,48 – численность населения на конец 2012 г.

Sn= S1 +3,48= 578,26+3,48=581,74 тыс.чел. - ожидаемая численность населения региона на 01.01.2013 г.





Подборка статей по вашей теме: