Чтобы вычислить величину прогиба, предположим, что балка представляет собой консоль с вылетом L. Тогда
d(x)=(4FL3)/(Ex33x4).
В решаемой задаче необходимо предусмотреть:
· практическую невозможность получения сварного шва, ширина которого превышает ширину балки;
· неотрицательность оптимизируемых переменных
· физическую невозможность сделать сварной шов, ширина которого меньше некоторого порогового значения.
Вариант 7. Задача о кислородном конверетер.
Кислородный конвертор, используемый в производстве стали, представляет собой химический реактор периодического действия, который потребляет чистый кислород. Процесс функционирования конвертoра - циклический.
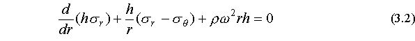
Руда и флюс загружаются в реактор, взаимодействуют в течение определенного периода времени, а затем продукты взаимодействия выводятся наружу. Этот циклический процесс связан с периодическими изменениями скорости потребления кислорода. Каждый цикл состоит из временного интервала длины t1, на котором расход кислорода в единицу времени невелик и равен D0, и временного интервала (t2 - t1), которому соответствует высокая скорость потребления D1. Используемый в конверторе кислород производится на специальной установке в соответствии с распространенным технологическим способом, который позволяет получать кислород из воздуха путем охлаждения и дистилляции. Кислородные установки отличаются высоким уровнем автоматизации и, как правило, имеют постоянную производительность. Для того чтобы соединить непрерывно действующую кислородную установку с циклически функционирующим конвертором, необходимо разработать проект простой системы управления запасами (рис.1), состоящей из компрессора и резервуара для хранения кислорода. Рассмотрим возможные проекты.
В самом простом случае производительность кислородной установки можно выбрать равной D1, наибольшей скорости потребления кислорода. В течение интервала времени, которому соответствует низкий расход кислорода, излишек газа придется выпускать в атмосферу. С другой стороны, можно выбрать кислородную установку с такой производительностью, которая позволила бы в течение одного цикла получать количество кислорода, требуемое для обеспечения нормальной работы конвертора. В интервале времени, когда расход газа невелик, излишек кислорода под давлением накапливался бы в резервуаре для последующего использования в течение интервала времени, которому соответствует высокая скорость потребления. Все промежуточные проекты отличаются от рассмотренных различными сочетаниями запасов и потерь кислорода. Задача заключается в том, чтобы выбрать оптимальный проект.

Рисунок 1 - Проект простой системы управления запасами
Изучаемая система состоит из установки для производства кислорода, компрессора и резервуара для хранения газа. Характеристики кислородного конвертера и цикла потребления кислорода предполагаются заданными, так как определяются внешними по отношению к системе факторами. Характеристический показатель качества проекта естественно выбрать в виде полных затрат в единицу времени, которые включают затраты на производство кислорода (постоянные и переменные), затраты на эксплуатацию компрессора, а также постоянные издержки, связанные с приобретением компрессора и резервуара для хранения кислорода. Основными независимыми переменными являются производительность кислородной установки F (кг О2/ч), проектная мощность компрессора H (л.с.), проектная емкость резервуара V (м3) и максимальное давление в резервуаре р (Н/м2). Предполагается, что кислородная установка является стандартной и поэтому полностью характеризуется своей производительностью. Кроме того, предполагается также, что резервуар отвечает требованиям обычного проекта и предназначен для хранения кислорода.
Модель системы включает основные соотношения, с помощью которых можно описать взаимосвязи между независимыми переменными.
Пусть Iмакс - максимальное количество кислорода, запасенного в резервуаре; используя скорректированное уравнение газового состояния, получим
V = (I макс/M)(RT/p)z (1)
где
R - универсальная газовая постоянная,
Т - температура газа (предполагается постоянной),
z - коэффициент сжимаемости,
М - молекулярный вес кислорода.
Максимальное количество кислорода, которое должно быть запасено в резервуаре, равняется площади, ограниченной кривой потребления между точками t1 и t2, D1 и F. Таким образом,
Iмакс = (D1 - F)(t2 - t1) (2)
Конструкция компрессора должна обеспечивать управление потоком газа, обладающим скоростью (D1-F)(t2-t1)/t1, и повышение давления газа до максимального значения р. В предположении, что газ идеальный, а процесс сжатия изотермический, имеем
(3)
где
k1 - переводной коэффициент,
k2 - коэффициент полезного действия компрессора,
р0 - начальное давление кислорода.
Эти уравнения необходимо дополнить неравенством, устанавливающим, что производительность кислородной установки F не должна быть меньше средней скорости потребления кислорода. Кроме того, максимальное давление в резервуаре должно превышать начальное давление кислорода.
Характеристический показатель качества проекта включает затраты на производство кислорода:
C1 (долл./год) =a1+a2F, (4)
где a1 и a2- эмпирически определяемые параметры для установок рассматриваемого типа, связанные с затратами на топливо, воду и рабочую силу.
Капитальные затраты на приобретение резервуара для хранения кислорода находятся с помощью следующей степенной зависимости:
, (5)
где b1 и b2 - эмпирически определяемые постоянные, отражающие специфические особенности конструкции резервуара. Капитальные затраты, связанные с приобретением компрессора, вычисляются с помощью аналогичной формулы:
(6)
Затраты на эксплуатацию компрессора приближенно описываются выражением b5t1H,
где b5 - затраты на эксплуатацию компрессора единичной мощности в единицу времени.
Таким образом, функцию полных издержек можно записать в следующем виде:
Полные годовые затраты =
(7)
где
N - число циклов потребления кислорода, реализуемых в течение года,
d - весовой коэффициент.
Вариант 8 Оптимальное проектирование диска турбины
Необходимо спроектировать диск турбины со следующими заданными свойствами:
· Масса диска W должна быть минимальна
· Должно удовлетворяться требование по прочности

где s0 - предельно допустимое давление, st и sq- радиальное и тангенциальное давление соответственно.
· Заданы ограничения на пределы изменения толщины диска.
Диск турбины можно рассматривать как вращающийся круглый диск переменной толщины (рис.1). Масса такого диска выражается с помощью формулы, связывающей a1 и am - внутренний и внешний радиусы соответственно; р- плотность; h(r) -толщина диска на расстоянии r от оси вращения.
Минимум достигается подбором функции h (r). Однако эту функцию нельзя изменять произвольно, так как должны быть выполнены требования к прочности диска при воздействии сил, возникающих во время его вращения.

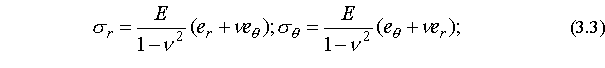
Уравнение равновесия сил для вращающегося диска имеет вид:

где st и sq - радиальное и тангенциальное давление соответственно, а w - частота вращения диска. Это уравнение справедливо в предположении радиальной симметрии сил в плоскости, ортогональной к оси вращения.
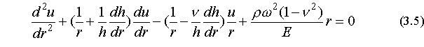
Cилы могут быть выражены через величину радиального смещения u(r) c помощью следующих соотношений:

er=du/dr; eq=u/r; (3.4)
где er и eq - радиальная и тангенциальная деформации; E- модуль Юнга и n- отношение Пуассона.
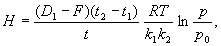
Подставляя уравнения (3) и (4) в (2), получаем:

Отсюда следует, что для определения u(r) необходимо знать геометрию диска, т.е. h=h(r), a1<=r<=am. В этом случае u(r) определится как решение краевой задачи для уравнения (3.5) с граничными условиями:

В результате решения краевой задачи и последующего применения формул (3.3) и (3.4) можно определить давления st и sq.
Кроме условия равновесия сил при вращении диска, должны удовлетворяться требования по прочности. Соответствующее ограничение имеет вид:
(3.7)
где s0 - предельно допустимое давление.
Наконец, ограничения на пределы изменения толщины диска заданы следующим образом:
где e - нижний предел толщины, заданный из технологических соображений; am-am-1 =const.
Исходные данные для оптимизации:
w = 150 (число оборотов диска в секунду) рад/с
r = 7800 (плотность металла) кг/м3
s0 = 20*106(предельное напряжение) кг/м2
E = 20.6*109 (модуль Юнга) кг/м2






