Вариант 1 Задача о почтовой рассылке
Посылка, которую должны отправить по почте, имеет форму прямоугольника с размерами x1, x2, x3. При отправлении посылки накладываются следующие ограничения: x1<=120, x2<=11, x3 <= 42 и x1+x2+2x3<=72. Найдите размеры, при которых объем будет максимальным. (Это модифицированная Розенброком задача о почтовой рассылке).
Вариант 2. План выпуска мебели
Предприятие может выпускать два вида корпусной мебели. На их изготовление идет древесина трех видов. Запасы древесины на предприятии, нормы их расхода aij (i=1,2,3; j=1,2), себестоимость сj и оптовые цены указаны в табл.№1. Из-за брака в процессе производства расход древесины зависит от объема xj производства изделий и в первом приближении выражается линейной функцией aij + xj, а себестоимость продукции - функцией cj + 0,1xj. Изделия могут выпускаться в любых соотношениях, так как сбыт обеспечен. Предприятие обязано с целью изучения спроса населения выпустить не менее двух комплектов каждого вида мебели. Составить план выпуска изделий, обеспечивающий получение максимальной прибыли.
|
|
|
Таблица 1.
| Порода | Запас сырья, м3 | Нормы расхода на изделие вида | |
| Сосна | |||
| Береза | |||
| Дуб | |||
| Себестоимость, млн. руб | |||
| Цена, млн. руб. |
Вариант 3. Распределение топлива в силовых установках.
Каждый из двух электрических генераторов может работать на жидком топливе и газе или в любом их сочетании. Суммарная мощность, развиваемая обоими генераторами, должна составлять 50 МВт. Потребление газа ограничено 10 ед./ч. Желательно выбрать схему работы каждого генератора так, чтобы минимизировать потребление жидкого топлива.
Согласно кривой, отражающей эксплуатационные характеристики генератора 1, затраты топлива на обеспечение выходной мощности х1 МВт составляют
w1 = 1.4609 + 0.15186x1 + 0.00145x12, (1)
w2 = 1.5742 + 0.1631x1 + 0.001358x12, (2)
где w1 и w2 - затраты жидкого топлива и газа в час соответственно.
Аналогично для генератора 2 затраты топлива на обеспечение выходной мощности х2 МВт составляют
у1 = 0.8008 + 0.2031х2 + 0.000916х22, (3)
у2 = 0.7266 + 0.2256х2 + 0.000778х22, (4)
где у1 и у2 - затраты жидкого топлива и газа в час соответственно.
По эксплуатационным характеристикам генераторов х1 может изменяться в диапазоне
18
х1
30, (5)
а х2 - в диапазоне
14
х2
25, (6)
Вариант 4. Задача о нахождении размеров коробки
Открытая коробка, изготовляемая из тонкого листа железа, имеет высоту z и прямоугольное основание с размерами x и y. Основание и стороны имеют толщину, равную d (малая величина), а стороны длиной y имеют толщину 2d.
- Если количество материала фиксировано, то покажите, что объем коробки максимален при x=2y=4z.
- Определите размеры коробки, если в ней должны находиться шесть лежащих на основании коробки шара, максимально заполняющие внутренний объем. При этом, диаметр шара должен быть в полтора раза меньше z.
- Найдите размеры коробки, при котором объем ее будет максимален при x=120, y<=11, z <= 42 и x1+x2+2x3<=72.
Вариант 5.Оптимальное проектирование щита люка
|
|
|
Ставится задача оптимального проектирования щита люка. Отверстие прямоугольной формы шириной l0=600 см должно быть покрыто полыми брусками из алюминия длиной l0 и шириной в 6 см. Покрытие должно выдерживать максимальную удельную нагрузку до 1000 кг/м3. Критерием оптимальности является масса щита на единицу длины. В качестве конструктивных параметров следует использовать толщину стенок и высоту бруска.
Приняты также следующие предположения:
- Коэффициент Пуассона у алюминия v=0,3;
- Алюминий обладает линейной упругостью с модулем Юнга E=7*105 кг/см2
- Остаточная деформация должна отсутствовать.
При построении модели формируются следующие ограничения:
1) На максимальное касательное напряжение tmax. Полагаем, что максимум поперечной силы Q = 1800 кг
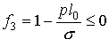
2) На максимальное изгибающее напряжение sbmax. На основе предварительного анализа конструкции получен максимальный изгибающий момент M = 2,7*104кг/см.
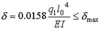
3) На максимальный прогиб dmaxpl0, где p=0,025. Величина прогиба определяется по формуле 
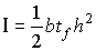
где q1=q0b, и для величины I принята аппроксимация 
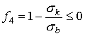
4) На изгибающее напряжение в стенках. Изгибающее напряжение в стенках выражается формулой

В результате задача оптимального проектирования формируется с учетом следующих ограничений:
;
;
;
;
h >= 0; tf >= 0;
r = 2700 (плотность металла) кг/м3
Вариант 6. Задача о нахождении размеров балки.
Задана строительная конструкция, состоящая из балки А и жесткой опоры В. Балка А крепится на жесткой опоре В с помощью сварного соединения. Балка изготавливается из стали и должна выдержать нагрузку F = 2721,5 кг. Размеры балки, толщина, ширина сварного шва, а также марка стали выбираются таким образом, чтобы полные затраты были минимальными.

Рисунок 1 - Нагруженная балка.
Система состоит из балки А и сварного шва, необходимого для крепления балки к опоре В. Независимыми, или управляемыми, переменными служат размеры:
x=(x1, x2, x3, x4)= (h, l, t, b)
х1= h - ширина сварного шва;
x2= l - глубина заделки балки;
x3= t - высота балки;
x4= b - ширина балки;
Длина балки предполагается равной 35,56 см. Характеристическим показателем качества проекта служат затраты на построение сварной группы. Основными стоимостными характеристиками такой группы являются С1 затраты на сварочные работы и С2 стоимость материалов, т. е.
Затраты на сварочные работы C1. Сварка будет проводиться аппаратом, при использовании которого полные расходы составляют 10 долл./ч. Сварочный аппарат накладывает один кубический дюйм сварочного шва за 6 мин.
Стоимость материалов С2. С2=С3Vw+C4[K]VB,
где С3=стоимость/объем сварного шва =(0,37*0,283)*163.87(долл./мм3);
С4=стоимость/объем балки = (0,17*0,283)*163,87(долл./мм3);
Vw= объем балки А
Vw=2(1/2h2l)=h2l, VB=tb(L+l).






