Процентом называется сотая часть от числа. 1%A = 0,01A
Основные типы задач на проценты:
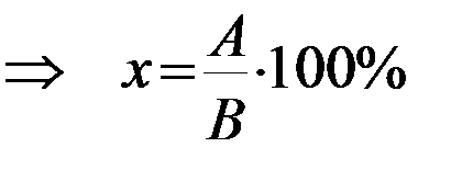
Сколько процентов составляет число A от числа B?
B - 100%
A - x%
Сложные проценты.
Число A увеличилось на 20%, а затем полученное число уменьшили на 25%.
Как, в итоге, изменилось исходное число?
1) A1 = (100% + 20%)A = 120%A = 1,2A
2) A2 = (100% - 25%)A1=75%A1 = 0,75A1 = 0,75×1,2A = 0,9A = 90%A
A1 – A = 90%A – 100%A = -10%A
3)
Þ Ответ: уменьшилось на 10%.
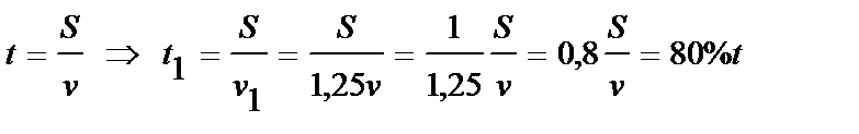
Изменение величины.
Как изменится время, если скорость движения увеличится на 25%?

Þ Ответ: уменьшится на 20%






