9. Определение неопределенного интеграла, его свойства, таблица простейших интегралов. Замена переменной в неопределенном интеграле.
Множество первообразных функции f (x) называется неопределённым интегралом от этой функции и обозначается символом
.
Как следует из изложенного выше, если F (x) - некоторая первообразная функции f (x), то
, где C - произвольная постоянная. Функцию f (x) принято называть подынтегральной функцией, произведение f (x) dx - подынтегральным выражением.
Свойства неопределённого интеграла, непосредственно следующие из определения:
1.
.
2.
(или
).
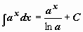
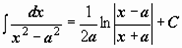
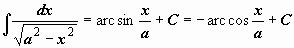
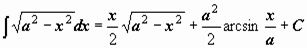
Таблица неопределённых интегралов.
.
| .
| ||
.
| .
| ||
( ).
| .
| ||
.
| .
| ||
; .
| .
| ||
.
|
| ||
.
| .
| ||
.
| .
| ||
.
| .
| ||
.
| ; .
|
.
.
.
.
(
).
.
.
.
;
.
.
.
.
.
.
.
.
.
.
;
.






