Исходные данные
Рассматривается система материальных точек массами т1, т2,..., тп, движущихся со скоростями
.
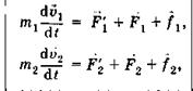
Второй закон Ньютона для каждой из материальных точек _
[
— равнодействующие внутренних консервативных сил, действующих на каждую из этих точек;
— равнодействующие внешних сил, которые считаются консервативными;
— равнодействующие внешних неконсервативных сил, действующие на каждую из материальных точек]
Учет перемещений точек под действием сил ___
Точки движутся под действием сил, поэтому за время dt совершают перемещения
. Каждое уравнение второго закона Ньютона умножено скалярно на соответствующее перемещение, и учтено, что
.






