Примеры вычислений потенциальной энергии. Полная энергия_

Конкретный вид функции П зависит от характера силового поля.

Потенциальная энергия тела массой т на высоте h

Это выражение вытекает из того, что потенциальная энергия равна работе силы тяжести при падении тела с высоты h на поверхность Земли.

Высота h отсчитывается от нулевого уровня, для которого П0 = 0, g — ускорение свободного падения.

Поскольку начало отсчета выбирается произвольно, то потенциальная энергия может иметь отрицательное значение (кинетическая энергия всегда положительна!). Если принять за нуль потенциальную энер­гию тела, лежащего на поверхности Земли, то потенциальная энергия тела, находящегося на дне шахты (глубина Л'), П = -mgh'.

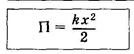
Потенциальная энергия упруго деформированного тела (пружины )

Это выражение получается из того, что работа силы при деформации пружины идет на увеличение потенциальной энергии пружины.

Элементарная работа dA, совершаемая силой Fx при бесконечно малой деформации dx, dA = Fx dx = kx dx (Fx = -F x упр = -(-kx) = kx).

Полная работа .

[k — коэффициент упругости (для пружины — жесткость); Fх упр =- kx - проекция силы упругости на ось х; Fх упр направлена в сторону, противопо­ложную деформации x. По третьему закону Ньютона деформирующая сила равна по модулю силе упругости и противоположно ей направлена]

Полная механическая энергия системы ___ Энергия механического движения и взаимодействия, т. е. равна сумме кинетической и потенциальной энергий.





Подборка статей по вашей теме: