
Правая часть равенства определяет работу внешних неконсервативных сил, действующих на систему.
Элементарное приращение кинетической энергии __
Первый член равенства (*) равен элементарному приращению кинетической энергии dT системы.
Элементарное приращение потенциальной энергии системы _
Второй член равенства (*) равен элементарной работе внутренних и внешних консервативных сил, взятой со знаком «минус», т. е. равен элементарному приращению потенциальной энергии dП системы..
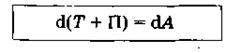
Изменение полной механической энергии системы _
Равно работе внешних неконсервативных сил, действующих на систему.
Правая часть равенства (*) задает dA.






