Тема 7. Показатели вариации. Ряды распределения

При изучении явлений и процессов общественной жизни статистика встречается с разнообразной вариацией (т.е. изменчивостью) признаков, характеризующих отдельные единицы совокупности (рис. 6).

Величины признаков изменяются под действием различных факторов. Очевидно, что чем разнообразнее условия, влияющие на размер данного признака, тем больше его вариация. Так, размер заработной платы рабочих зависит от ряда факторов: специальности, уровня квалификации, стажа работы, образования и т. д. Чем больше различия между значениями факторов, тем больше вариация в уровне заработной платы рабочих.

Абсо-лютные
Показатели вариации
Линейные
Квадратичные
Сред-ние
Относи-тельные
Абсолю-тные
Сре-дние
Относи-тельные
Размах
Среднее линей-ное отклоне-ние
Среднее относи-тельное отклоне-ние
Сумма квадра-тов отклоне-ний
Среднее квадра-тическое отклоне-ние
Диспер-сия
Коэффи- циент вариации

Рис.6. Показатели вариации

При характеристике колеблемости признака применяют систему абсолютных и относительных показателей.

К абсолютным показателям вариации относятся:

1) размах вариации ; (21)

2) среднее линейное отклонение d;

3) дисперсия ;

4) среднеквадратическое отклонение (22)

Эти показатели (кроме дисперсии) измеряются в тех же единицах, что и сам признак: в тоннах, метрах, секундах.

К относительным показателям вариации относятся:

1) коэффициент осцилляции ; (23)

2) линейный коэффициент вариации ; (24)

3) простой коэффициент вариации . (25)

Эти показатели выражаются в процентах или относительных величинах.

Размах вариации. Наиболее простым способом измерения колеблемости является определение размаха вариации, то есть разности между максимальным и минимальным значениям варьирующего признака.

Величина R показывает, в каких пределах колеблется размер признака, образующего ряд распределения. Показатель R выражается в тех же единицах измерения, что и варианты ряда.

Но размер вариации как показатель колеблемости имеет существенный недостаток. Его величина определяется двумя крайними значениями признака, в то время как колеблемость последнего складывается из суммы всех его значений. Поэтому размах вариации может в ряде случаев неправильно характеризовать колеблемость признака.

В связи с тем, что каждое индивидуальное значение признака отклоняется от средней на определенную величину, очевидно, что мерой вариации может служить средняя из отклонений каждой отдельной варианты от их средней.

Такими показателями являютсясреднее линейное отклонение, дисперсия и среднее квадратическое отклонение.

Среднее линейное отклонение представляет собой среднюю из абсолютных значений отклонений отдельных вариант от их средней.

Среднее линейное отклонение рассчитывается по формуле средней арифметической простой:

(26)

или средней арифметической взвешенной

(27)

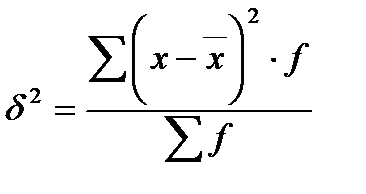
Дисперсией называется средний квадрат отклонений индивидуальных значений признака от их средней величины:

(28)

При равенстве весов или когда они равны 1:

. (29)

Дисперсия имеет большее значение в статистическом анализе. Однако ее применение как меры вариации в ряде случаев бывает не совсем удобным, потому что размерность дисперсии равна квадрату размерности изучаемого признака. В таких случаях для измерения вариации признака вычисляют среднее квадратическое отклонение:

(30)

А при равенстве весов или когда они равны 1:

. (31)

Исчисление дисперсии и среднего квадратического отклонения позволяет устранить недостаток среднего линейного отклонения. Ведь любое число, положительное или отрицательное, возведенное в квадрат, будет числом положительным.

Коэффициент вариации. Дисперсия и среднее квадратическое отклонение недостаточно полно характеризуют колеблемость признака, так как показывает абсолютный размер отклонений, что затрудняет сравнение изменчивости различных признаков.

Для характеристики колеблемости явлений среднее квадратическое отклонение сопоставляют с его средней величиной и выражают в процентах. Такой показатель называется коэффициентом вариации (V) и рассчитывается по формуле:

(32)

Коэффициент вариации представляет собой отношение среднего квадратического отклонения к средней арифметической. Выражая его в процентах, различные абсолютные среднеквадратические отклонения приводят к одному основанию и дают возможность сравнивать, оценивать колеблемость величин различных признаков.

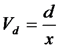
Если взять отношение среднего линейного отклонения к средней арифметической в процентах, то получим линейный коэффициент вариации:

(33)

Отношение размаха вариации к средней арифметической в процентах называется коэффициентом осцилляции:

(34)

Самым распространенным относительным показателем колеблемости является коэффициент вариации. Он более точно, чем абсолютный, характеризует различие колеблемости признаков.

По величине коэффициента вариации можно судить о степени вариации признаков совокупности. Чем больше его величина, тем больше разброс значений вокруг средней, тем менее однородна совокупность по своему составу и представительна средняя.

Статистические ряды распределения

После определения группировочного признака и границ групп строится ряд распределения.

Статистический ряд распределения представляет собой упорядоченное распределение единиц изучаемой совокупности на группы по определенному варьирующему признака. Он характеризует состав (структуру) изучаемого явления, позволяет судить об однородности совокупности, закономерности распределения и границах варьирования единиц совокупности.

Ряды распределения, построенные по атрибутивным признакам,называются атрибутивными. Примером атрибутивных рядов могут служить распределения населения по полу, занятости, профессии.

Ряды распределения, построенные по количественному признаку (в порядке возрастания или убывания наблюдаемых значений), называются вариационными. Например, распределение населения по возрасту, рабочих – по стажу работы.

Вариационные ряды распределения состоят из 2-х элементов: вариантов и частот.

Числовые значения количественного признака в вариационном ряду распределения называют вариантами. Они могут быть положительными и отрицательными, абсолютными и относительными. Так, при группировке предприятий по результатам хозяйственной деятельности варианты – положительные (прибыль) или отрицательные (убыток) числа.

Частоты – численности отдельных вариантов или каждой группы вариационного ряда, т.е. это числа, показывающее, как часто встречаются те или иные варианты в ряду распределения. Сумма всех частот называется объемом совокупности и определяет число элементов всей совокупности.

Частости – частоты, выраженные в виде относительных величин (в долях единиц или в процентах). Сумма частостей равна единице или 100%. Замена частот частостями позволяет сопоставлять вариационные ряды с разным числом наблюдений.

Вариационные ряды в зависимости от характера вариации подразделяются на дискретные и интервальные. Дискретные вариационные ряды основаны на дискретных (прерывных) признаках, имеющих только целые значения (например, квалификационный уровень рабочих).

При наличии достаточно большого количества вариантов значений признака первичный ряд является трудно обозримым, и непосредственное его рассмотрение не дает представления о распределении единиц по значению признака в совокупности. Поэтому первым шагом в упорядочении первичного ряда является его ранжированием, то есть расположение всех вариантов в возрастающем (или убывающем) порядке.

Способы построения дискретных и интервальных рядов различны.

Для построении дискретного ряда с небольшим числом вариантов выписываются все встречающиеся значений признака , а затем подсчитывается частота повторения варианта . Ряд распределения принято оформлять в виде таблицы, состоящей из двух колонок (строк), в одной из которых представлены варианты, в другой – частоты.





Подборка статей по вашей теме: