Тема 8. Ряды динамики

Процессы и явления общественной жизни, являющиеся предметом изучения статистики, находятся в постоянном движении и изменении.

Статистические данные, характеризующие изменения явлений во времени, называются динамическими (хронологическими или временными) рядами. Такие ряды строят для выявления и изучения складывающихся закономерностей в развитии явлений экономической, политической и культурной жизни общества.

Правильный построенный динамический ряд состоит из сопоставимых статистических показателей. Для этого необходимо, чтобы состав изучаемой совокупности был один и тот же на всем протяжении ряда, то есть относился к одной и той же территории, к одному и тому же кругу объектов и был рассчитан по одной и той же методологии.

Для преобразования несопоставимых рядов в сопоставимые производят перерасчет данных с помощью различных приемов. Рассмотрим некоторые из них.

Прямой пересчет данных производится, например, при изучении движения населения, которое нельзя механически сравнивать без учета изменившихся территорий проживания.

Смыкание рядо в используют для сопоставления двух рядов показателей, характеризующих динамику одного и того же явления в новых и старых административных границах. Если имеются данные в новых и старых границах по одному и тому же кругу объектов, то такие динамические ряды можно сомкнуть.

В любом ряде динамики выделяют два основных элемента: показатель времени и уровень ряда.

Если показатель времени представлен моментом (например, характеризует состояние явления на определенную дату), то такой ряд динамики называется моментным. Если показатель времени представлен временным интервалом (например, характеризует результат развития за определенный период), то такой динамический ряд называется интервальным.

Виды динамических рядов.

В зависимости от характера изучаемых величин различают три вида динамических рядов: моментные, интервальные и ряды средних.

Моментными рядами называются статистические ряды, характеризующие размеры изучаемого явления на определенную дату, момент времени. Примером могут служить данные о численности персонала фирмы по состоянию на первое число каждого месяца.

Интервальными рядами называются статистические ряды, характеризующие размеры изучаемого явления за определенные промежутки (периоды, интервалы) времени. Интервальные ряды можно суммировать для получения новых числовых значений за более длительный период времени.

Для общей характеристики какого-либо явления за определенный период рассчитывается средний уровень из всех членов динамического ряда.

Способы расчета зависят от вида динамического ряда. Для интервальных рядов средняя рассчитывается по формуле средней арифметической, причем при равных интервалах применяется средняя арифметическая простая, а при неравных - средняя арифметическая взвешенная.

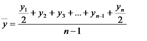
Для нахождения средних значений моментного ряда применяют среднюю хронологическую:

(35)

где – определенный уровень;

– предыдущий уровень;

– конечный уровень;

– число уровней ряда.

Средняя хронологическая моментного ряда равна сумме всех уровней ряда, поделенной на число членов ряда без одного, причем первый и последний члены ряда берутся в половинном размере.

Если интервалы между периодами не равны, то применяется средняя арифметическая взвешенная, а в качестве весов берутся отрезки времени между датами, к которым относятся парные средние смежных значений уровня.

Графически ряды динамики изображаются линейными или столбиковыми диаграммами. Но в любом случае по оси абсцисс откладываются показатели времени, а по оси
ординат – уровни ряда.

Основные показатели анализа динамических рядов.

Динамические ряды анализируются при помощи таких показателей, как уровень ряда, средний уровень, абсолютный прирост, темп роста и др.

Уровнем ряда называется абсолютная величина каждого члена динамического ряда. Все уровни ряда характеризуют его динамику. Различают начальный, конечный и средний уровни ряда. Начальный уровень - величина первого члена ряда, конечный - последнего, средний - средняя из всех значений динамического ряда.

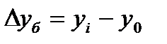
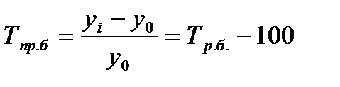
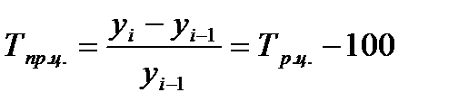
Абсолютный прирост характеризует размер увеличения или уменьшения изучаемого явления за определенный период времени. Он определяется как разность между данным уровнем и предыдущим или первоначальным. Уровень, который сравнивается, называется текущим, а уровень, с которым производится сравнение - базисным,так как он является базой для сравнения. Если каждый уровень ряда сравнивается с предыдущим, то получают цепные показатели.Если же все уровни ряда сравниваются с одним и тем же первоначальным уровнем, то полученные показатели называются базисными.

Первый из аналитических показателей - абсолютный прирост (снижение) уровней - исчисляется разницей между двумя уровнями:

– цепной абсолютный прирост:

(36)

– базисный абсолютный прирост:

(37)

где – начальный уровень ряда.

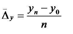
Средний абсолютный прирост можно рассчитывать по формуле:

(38)

где – конечный уровень.

В ряде случаев изучаемое явление растет неравномерно, под воздействием многих факторов, силы и направление влияния которых из года в год меняются. Так, размеры продукции растениеводства зависят от многих факторов, в том числе и от метеорологических условий. Поэтому для определения роста производства зерна или другой продукции растениеводства правильнее сравнивать не ежегодные уровни валового сбора урожая, а средние – за определенные периоды времени.

Для характеристики относительной скорости изменения уровня динамического ряда в единицу времени вычисляют показатели темпов роста и прироста.

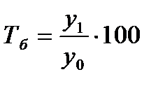
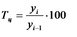
Темпом роста называется отношение данного уровня явления к предыдущему или начальному, выраженное в процентах. Темпы роста, вычисленные как отношение данного уровня к предыдущему, называются цепными, а к начальному - базисными.

Темпы роста вычисляются по формулам:

– цепной ; (39)

– базисный (40)

где – текущий уровень ряда,

– уровень предшествующий.

Темпом прироста называется отношение абсолютного прироста к предыдущему или начальному уровню, выраженное в процентах. Темп прироста можно рассчитать по данным о темпе роста. Для этого от темпа роста отнять 100 или от коэффициента роста -1.

– цепной ; (41)

– базисный . (42)

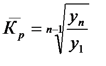
Для характеристики темпов роста и прироста в среднем за весь период, охватываемый рядом динамики, исчисляют средний темп роста и прироста.

Средний темп (коэффициент) роста определяется по формуле средней геометрической. Когда средний темп роста вычисляется по абсолютным данным первого и последнего членов динамического ряда, применяется формула средней геометрической:

, (43)

где – конечный уровень;

– конечный уровень;

– число уровней ряда.

Если абсолютные данные динамического ряда отсутствуют, а имеются цепные коэффициенты роста (по сравнению с предыдущим периодом), средний коэффициент роста определяется по формуле:

, (44)

где – коэффициенты роста за каждый период.

При сравнении интенсивности развития явлений по данным двух динамических рядов представляет интерес определение интенсивности изменения во времени одного явления по сравнению с другим. Такое сопоставление проводится при сравнении двух взаимосвязанных динамических рядов, характеризующих развитие изучаемых явлений, так и при сравнении рядов одних и те же явлений, но относящихся к разным объектам или странам. Например, сравнение динамики роста производительности труда и заработной платы, сопоставление рядов динамики, характеризующих производство важнейших видов продукции в России и других странах и т.д. Для этого сравнивают базисные темпы роста за одинаковые периоды времени.

Отношение базисных темпа роста двух динамических рядов за одинаковые отрезки времени называется коэффициентом опережения. Обозначим коэффициент опережения , базисные коэффициенты роста первого ряда динамики – , второго – :

(45)

Коэффициент опережения показывает, во сколько раз быстрее растет уровень одного ряда динамики по сравнению с другим. Отношение абсолютного прироста к темпу прироста представляет собой абсолютное значение одного процента по формуле:

(46)

Интерполяция и экстраполяция. При решении некоторых вопросов приходится определять неизвестные промежуточные значения динамического ряда. Эта задача решается способом интерполяции.

Интерполяция – способ определения неизвестных промежуточных значений динамического ряда. Интерполяция заключается по существу в приближенном отражении сложившейся закономерности внутри определенного отрезка времени – в отличие от экстраполяции, которая требует выхода за пределы этого отрезка времени.

Экстраполяция – метод определения количественных характеристик для совокупностей и явлений, не подвергшихся наблюдению, путем распространения на них результатов, полученных из наблюдения за аналогичными совокупностями за прошедшее время, на будущее и др.





Подборка статей по вашей теме: