Обобщенным показателем использования рабочего времени является интегральный показатель использования фондов времени (Ки)
, (114)
где Кt – коэффициент использования продолжительности рабочей смены;
Кд – коэффициент использования числа дней работы.
, (115)
. (116)
К показателям использования рабочего времени относятся также коэффициент сменности (Ксм) и коэффициент использования сменного режима (Кср).
, (117)
(118)
Эффективность использования трудовых ресурсов изучается через показатели производительности труда.
Под производительностью труда понимается степень эффективности живого конкретного труда, его способность производить в единицу времени определенное количество потребительных стоимостей или затрачивать определенное количество времени на производство единицы продукции.
В зависимости от затрат времени различают:
, (119)
, (120)
. (121)
Месячную выработку на одного рабочего определяют по формуле:
, (122)
где
– доля рабочих в общей численности работников.
Между перечисленными показателями существует взаимосвязь:
, (123)
где t – продолжительность смены;
Д – число рабочих дней в периоде.
Для изучения динамики производительности труда используются три вида индексов:
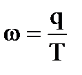
1) Натуральные индексы – используются, если объем производства продукции представлен в натуральном или условно-натуральном выражении (q).
, (124)
, (125)
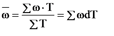
где Т – затраты рабочего времени;
dТ – структура рабочего времени.
Динамику производительности труда изучают в этом случае с применением индексов средней производительности (выработки) переменного состава и структурных сдвигов.
2) Трудовые индексы определяют на основе трудоемкости двумя способами:
а) на основе фактических затрат времени:
, (126)
где t1, t0 – соответственно трудоемкость продукции в отчетном и базисном периодах.
б) на основе нормативных затрат времени (tн):
(127)
3) Стоимостные индексы производительности труда применяются в статистике как наиболее универсальные, охватывающие все результаты производства, обеспечивающие возможность получения сводных данных по разнородной продукции:
; (128)
; (129)
, (130)
где Q1, Q0 – объемы продукции в стоимостном выражении, в неизменных (сопоставимых) ценах, соответственно за отчетный и базисный периоды.
Главной формой распределения по труду и основным источником реальных доходов трудящихся является заработная плата.
Заработная плата – это часть национального дохода, поступающая в индивидуальное распоряжение рабочих и служащих в соответствии с количеством и качеством затраченного ими общественно-полезного труда.
Под фондом заработной платы понимается общая сумма денежных средств, начисленных работникам за выполненную ими в течение отчетного периода работу, а также за неотработанное время в тех случаях, когда это предусмотрено действующим законодательством.
В соответствии с инструкцией Госкомстата РФ в зависимости от вида оплаты отработанного и неотработанного времени, а также стимулирующих и компенсационных выплат различают следующие фонды заработной платы:
Тарифный фонд – оплата фактически отработанных человеко-дней, включает начисленную оплату труда по сдельным расценкам, тарифу и штатно-окладной системе.
Часовой фонд (Fr) включает тарифный фонд и различные компенсационные выплаты за изменение условий работы (оплата брака не по вине рабочего, доплаты сдельщикам по прогрессивным расценкам, доплаты за работу в ночное время и за трудные условия работы, доплату за обучение учеников на производстве и т.п.).
Дневной фонд (Fд) - оплата фактически отработанных человеко-дней, включает часовой фонд и оплату неотработанных человеко-часов: доплаты за сверхурочное время; оплату внутрисменных простоев; оплату льготных часов работы отдельным категориям; оплату производительности часов выполнения государственных обязанностей и т.п.
Месячный (квартальный) годовой (Fм) фонд – фонд оплаты труда за календарный период. Включает дневной фонд оплаты труда, оплату очередных и дополнительных отпусков; оплату целодневных простоев; стимулирующие доплаты (надбавки за выслугу лет, стаж работы); премии, включая премии за содействие изобретательству и рационализаторству.
Уровень оплаты труда измеряются показателем средней заработной платы f.
Возможны показатели средней часовой (fч), средней дневной (fд), средней месячной (квартальной, годовой) (fм) заработной платы.
Показатели средней заработной платы рассчитываются путем деления фондов заработной платы на соответствующие показатели затрат труда.
; (131)
; (132)
. (133)
Между показателями средней заработной платы существует взаимосвязь:
(134)
где t – продолжительность смены;
Д – количество рабочих дней в периоде;
К1 – коэффициент увеличения часового фонда до дневного фонда
;
К2 – коэффициент увеличения дневного фонда до месячного фонда
.
Для изучения динамики средней заработной платы используется индекс переменного состава. Для оценки влияния уровней оплаты труда отдельных категорий работников и их численности на уровень средней зарплаты – индекс фиксированного состава и индекс структурных сдвигов.
Различают номинальный уровень оплаты труда как начисленная оплата труда каждому работнику и реальный уровень – заработная плата за вычетом налогов и обязательных платежей, деленная на индекс потребительских цен и тарифов.
С переходом к рыночной экономике происходит процесс расслоения общества по уровню доходов. Для анализа дифференциации доходов населения используются следующие показатели.
Модальный доход – уровень дохода, наиболее часто встречающийся в совокупности.
Медианный доход – величина уровня дохода, которая находится в середине ряда распределения по доходам.
Децильный коэффициент дифференциации - характеризует, во сколько раз минимальный доход 10 % самого богатого населения превышает доходы 10 % наименее обеспеченного населения.
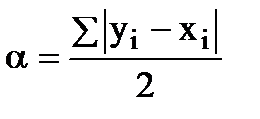
Коэффициент концентрации Лоренца (α):
, (135)
где yi – доля доходов, сосредоточенных в i-й группе населения;
xi – доля населения в i-й группе.
Для графического изображения степени концентрации доходов используется статистический график – «кривая Лоренца».






