Прибыль (П) и рентабельность выполняют роль обобщающих показателей эффективности функционирования предприятия.
Валовая прибыль – общая величина прибыли, полученная в результате всех видов экономической деятельности. Валовая прибыль включает в себя:
прибыль от реализации, определяемую как разница между выручкой от реализации продукции (без НДС, акцизов и аналогичных обязательных платежей) и ее себестоимостью:
; (142)
прибыль от прочей реализации – прибыль от реализации основных фондов и иного имущества (определяется как разница между продажной ценой и остаточной стоимостью, увеличенной на индекс - дефлятор);
внереализационная прибыль включает доходы от долевого участия в деятельности других предприятий, от сдачи имущества в аренду, доходы по ценным бумагам, принадлежащим предприятию, и т.п.
Валовая прибыль является налогооблагаемой базой. За вычетом предусмотренных налогов и других платежей в бюджет остается чистая прибыль, поступающая в распоряжение предприятия.
|
|
|
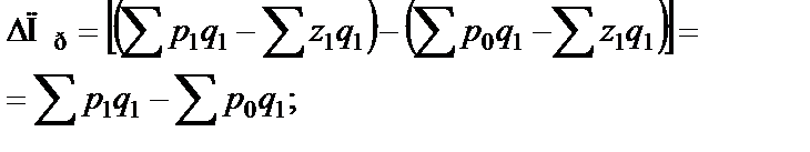
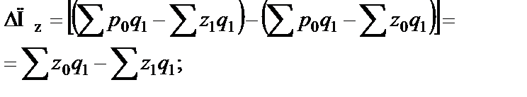
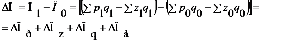
На величину прибыли от реализации продукции оказывают влияние четыре фактора: цены, по которым реализуется продукция; себестоимость изделий; объем реализованных изделий (т.е. их количество) и ассортимент реализованной продукции.
При определении влияния указанных факторов используются формулы:
а) влияние цен на изменение прибыли от реализации (
):
(143)
б) влияние себестоимости отдельных изделий (
):
(144)
в) влияние объема выпуска продукции (
):
, (145)
где
– индекс объема производства
;
г) совместное влияние объема производства и ассортимента продукции (
):
; (146)
д) влияние ассортимента (
):
; (147)
е) общее изменение прибыли от реализации продукции (
):
(148)
Рентабельность является относительной характеристикой прибыли (норма прибыли), используется для оценки эффективности потребляемых ресурсов.
Существует несколько направлений определения показателей рентабельности:
, (149)
, (150)
, (151)
, (152)
где
– среднегодовая стоимость основных фондов;
– средние остатки оборотных средств.
Любой показатель рентабельности, будучи относительной величиной, испытывает воздействие обоих ее элементов (и числителя – прямая связь, и знаменателя – обратная). Оценка раздельного влияния каждого элемента осуществляется по общей методике.
Показатели рентабельности могут быть увязаны с помощью мультипликативных индексных моделей, что позволяет проводить факторный индексный анализ рентабельности.
Чаще всего статистическому анализу подвергается общая рентабельность (рентабельность производства):
, (153)
где
– коэффициент изменения балансовой прибыли (определяется отношением балансовой прибыли и прибыли от реализации продукции);
|
|
|
– рентабельность реализованной продукции (РП);
– число оборотов оборотных средств (коэффициент оборачиваемости);
– доля оборотного капитала в общей стоимости производственного капитала.
Факторный анализ общей рентабельности проводится по схеме:
1) влияние изменения коэффициента балансовой прибыли (
):
; (154)
2) влияние изменения рентабельности реализованной продукции (
):
; (155)
3) влияние изменения коэффициента оборачиваемости (
):
; (156)
4) влияние изменения доли оборотного капитала в общей стоимости производственного капитала (
):
; (157)
5) общее изменение рентабельности производства (
):
. (158)






