Под качеством понимается совокупность свойств продукции, обусловливающих степень ее пригодности удовлетворять определенные потребности в соответствии с ее назначением.
Многообразие видов продукции, неодинаковое их значение и потребительские свойства требуют применения различных показателей качества:
1. Долговечность – срок службы изделия до первого капитального ремонта.
2. Надежность – время работы до первого отказа или среднее число отказов в единицу времени.
3. Коэффициент качества – сводная характеристика качества изделия, определяемая с учетом нескольких свойств изделия (Jк).
, (103)
где Кi – относительный показатель качества; di – коэффициент весомости i-го параметра в системе показателей качества изделия:
. (104)
Динамика качества продукции оценивается с помощью индекса качества профессора А.Я. Боярского (Jб) и индекса сортности продукции (Jc):
; (105)
, (106)
где iк – индивидуальные индексы качества
;
рс – цена продукции по сортам; qc0,qc1 – количество продукции по сортам, соответственно в базисном и отчетном периодах;
– средняя цена по сортам в базисном периоде
.
Качество работы оценивается на основе показателей равномерности и ритмичности выпуска продукции.
Равномерность – выпуск продукции равными долями за одинаковые промежутки времени, оценивается через относительные величины удельного веса только для массового производства.
Ритмичность – выпуск и реализация продукции в точном соответствии с установленным планом-графиком. Показатели ритмичности определяются при серийном и единичном производствах с использованием показателей:
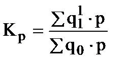
1) Коэффициент ритмичности (Кр)
, (107)
где
– фактически произведенная продукция в пределах не более планового задания за каждый отрезок времени изучаемого периода (смена, сутки) согласно графику заданий;
– плановые задания.
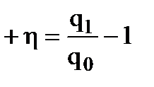
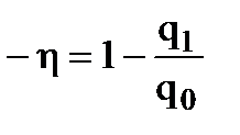
2) Числа аритмичности - при перевыполнении плана рассчитывают положительные числа (+η), при невыполнении плана – отрицательные числа (-η):
;
. (108)






