эксплуатационных факторов и возраста автомобиля
При разработке системы корректирования нормативов технической эксплуатации автомобилей (ТЭА) необходимо иметь численные измерители эксплуатационных факторов (ЭФ), которые являются или отчетными показателями работы предприятий, или сложившимися (устоявшимися) для данной территории (например, температура воздуха и ее вариация) или дорожной сети (сопротивление дороги). Этим требованиям отвечает средняя техническая скорость автомобиля, а с точки зрения нагрузки на автомобиль - это коэффициенты использования грузоподъемности, пробега, прицепов. Измерителем сопротивления дороги является коэффициент сопротивления движению y, значения которого в зависимости от состояния дорожного покрытия и рельефа местности приведены в литературе [50]. Измерителями теплового состояния являются средняя годовая температура и ее среднеквадратическое отклонение, значения которых можно определить по климатическим справочникам или другой литературе [148].
Поскольку зависимости показателей режимов от основных ЭФ, а также зависимости интенсивности изменения технического состояния от показателей режимов являются сложными и порой неоднозначными, то при моделировании многофакторной зависимости при известной физической стороне влияния для практических целей целесообразно использовать аппроксимирующие уравнения. Наиболее часто в таких случаях используют полиномиальные модели n- й степени. В работе [15], выполненной под руководством автора, на примере двигателя получена такая полиномиальная модель коэффициента корректирования в зависимости от сочетания основных ЭФ, кроме температуры. Однако даже при этом модель содержит 18 значимых параметров, что затрудняет ее практическое использование.
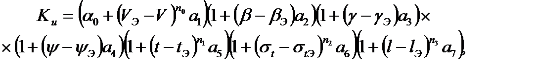
В данном случае, когда в полиномиальной модели существуют члены при взаимном влиянии факторов, целесообразно использовать модели на основе мультипликативных. Такую модель коэффициента корректирования интенсивности изменения технического состояния в зависимости от сочетания основных ЭФ, с учетом приведенных ранее зависимостей, целесообразно представить в виде
| (3.83) |
где факторы с индексом "э" обозначают их величину, принятую за эталон или за экстремальное значение; а i, ni - параметры.
Как видно, в этой модели даже при большем числе факторов экспериментальных параметров всего двенадцать, что существенно упрощает ее использование. Кроме того, такая модель удобна для построения номограммы, которая является для практического использования самой доступной и быстрой формой. Обработка собранных экспериментальных данных, по которым получены приведенные ранее зависимости, по специальной программе на компьютере позволила определить значения параметров а i, ni, с учетом которых модель имеет вид для основных ЭФ кроме температуры
| (3.84) |
При этом корректирование по природно-климатическим факторам осуществляется согласно общепринятой методике [137]. Из существующих многообразных форм номограмм для практического использования широким кругом специалистов целесообразно использовать систему прямоугольных координат с равномерным расположением размеров факторов по осям.
Построенная по модели (3.84) номограмма корректирования нормативов ТЭА в зависимости от сочетания основных ЭФ приведена на рис.3.63. В четвертом квадранте номограммы учтено влияние такого важного организационного фактора, как возраст автомобиля, оцениваемый пробегом с начала эксплуатации. Коэффициент корректирования интенсивности изменения технического состояние может быть использован как сомножитель для корректирования удельной трудоемкости текущего ремонта, удельных затрат на ремонт. Корректирование периодичности профилактических и ремонтных воздействий происходит аналогично, но только при этом используется обратная коэффициенту kи величина, так как ресурс обратно пропорционален интенсивности изменения технического состояния.
Использование предложенной модели и номограммы корректирования позволяет значительно повысить точность и достоверность корректирования и нормирования в ТЭА. Эта система ориентирована на современное состояние учета эксплуатационных факторов и измерения процесса эксплуатации автомобиля. Однако эта система может быть в перспективе усовершенствована на основе рационального измерителя процесса эксплуатации.

Рис.3.63. Номограмма для корректирования нормативов ТР по основным эксплуатационным факторам в заданных природно-климатических условиях: V - средняя скорость автомобиля; b, g - коэффициенты использования пробега и грузоподъемности; y - коэффициент сопротивления движению; l - пробег с начала эксплуатации; kи - коэффициент корректирования






