(рис.3.)
•
Угол конуса при вершине 2φ определяет производительность и стойкость сверла. Играет роль главного угла в плане, подобно ему влияет на составляющие силы резания, длину режущей кромки и параметры сечения срезаемого слоя.
При уменьшении 2φ сила подачи снижается, а крутящий момент возрастает. Длина режущей кромки увеличивается – отвод тепла улучшается. Толщина стружки уменьшается. Снижается прочность вершины сверла. Угол 2φ выбирается экспериментально в зависимости от обрабатываемого материала.
Рис.3. Геометрия спирального сверла
• Угол наклона винтовой стружечной канавки ω измеряется на наружном диаметре сверла
, где
Pz - шаг винтовой стружечной канавки.
От угла ω зависят:
- сход стружки, с увеличением этого угла отвод стружки улучшается;
- прочность и жесткость сверла, с увеличением ω жесткость на изгиб снижается, а жесткость на кручение возрастает;
- величина переднего угла, с увеличением ω передний уголвозрастает.
Международная организация по стандартизации ISO рекомендует три типа сверл:
|
|
|
- тип Н для обработки хрупких материалов с ω = 10…160;
- тип N для обработки материалов, дающих элементную стружку с
ω = 25…350;
- тип W для обработки вязких материалов (алюминий, медь и т.п.) с
ω = 35…450
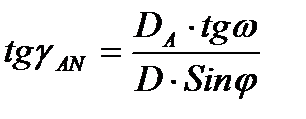
• Передний угол γ главных режущих кромок в рабочей плоскости 0-0 (рис.3.) для каждой точки режущей кромки равняется углу наклона винтовой канавки на диаметре рассматриваемой точки:
, где
ωА –угол наклона винтовой канавки в данном сечении.
Передний угол в главной секущей плоскости N-N
,
Как видно из формулы, передний угол зависит от угла ω и уменьшается на режущей кромке от периферии к центру. На поперечной кромке передний угол имеет отрицательные значения.
• Задний угол a принято рассматривать в рабочей плоскости О-О (Рис.3.).
Кинематический задний угол aρ (Рис.4.) определяют как угол между винтовой траекторией результирую-щего движения резания и касательной к задней поверхности aρi = ai – μi, где μi – угол скорости резания

Угол скорости резания увеличивается с ростом подачи и уменьшением диаметра рассматриваемой точки. Для выравнивания кинематических задних углов инструментальный задний угол делают переменным вдоль режущей кромки. На периферии он равен 8…140, а у сердце-вины 20…250
Рис.4. Геометрия задней поверхности сверла