Метчики-протяжки (рис.28) применяются для нарезания резьб крупного профиля, например трапецеидальных, в сквозных отверстиях. Обработка производится за один проход на токарном станке. Метчик-протяжка отличается повышенной прочностью и жесткостью, т.к. в отличие от обычных метчиков работают не на сжатие, а на растяжение. Это позволяет уменьшать толщину срезаемого слоя за счет увеличения длины режущей части.
| Рис. 28. Метчик-протяжка |
Плашки
Плашка (рис.14.) предназначена для нарезания наружной резьбы и представляют собой гайку, сопряженную с нарезаемой резьбой, для чего у плашки прорезаются стружечные канавки и создаются задние углы.

| Рис. 14. Резьбонарезная плашка |
Наружный диаметр плашки D должен обеспечить прочность корпуса (рис.29):
, где
D1 – диаметр на котором располагаются центры стружечных отверстий;
dc – диаметр стружечных отверстий;
Е – размер, обеспечивающий прочность плашки. 
Режущая часть (рис.30) выполняется с двух сторон плашки, что повышает срок ее службы. Угол заборного конуса 2 φ зависит от обрабатываемого материала и уменьшается с увеличением его прочности. Угол 2 φ может принимать значения от 250 до 900
|
|
|

| Рис.30 Режущая часть плашки |
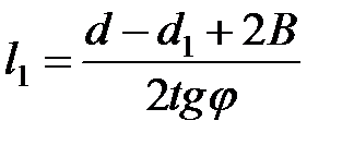
Длина режущей части
,
где d – наружный диаметр резьбы,
d1 – внутренний диаметр резьбы,
B – величина облегчающая направление плашки в начале работы, В=0,2…0,4 мм.
Передний угол γ задают на внутреннем диаметре резьбы и выбирают в зависимости от обрабатываемого материала, γ =100…300.
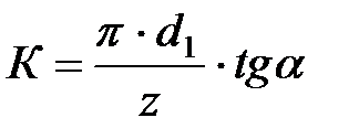
Задние углы получают путем затылования по архимедовой спирали на режущей части. Величина затылования
, где z - число перьев плашки, зависящее от диаметра резьбы, z = 3…12, α - задний угол, α = 60…90.
Между шириной пера F и шириной просвета C выдерживается соотношение F/C = 0,65…0,8; что обеспечивает прочность и жесткость пера, достаточное пространство для размещения стружки и число переточек, а также направление плашки в работе.
| dз |
| D1 |
| dc |
| γ |
| F |
| C |
| O |
| O1 |
| t |







