Основные элементы метчика:
1. режущая часть,
2. калибрующая часть,
3. хвостовик,
4. кольцевая канавка для закрепления в патроне и передачи осевого перемещения,
5. квадрат (или лыска) для передачи крутящего момента,
6. перья,
7. стружечные канавки.
|
| Рис. 16 Конструкция машинного метчика |
|
| Рис. 17. Схемы срезания припуска метчиками: а) последовательная б) профильная |
| а) |
| б) |
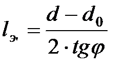
Режущая часть производит основную работу срезания припуска, выполняется в виде конуса с углом наклона образующей φ. Может применяться последовательная (рис.17.а) или профильная (рис.17 б) схемы резания. Длина режущей части l1 (рия.16) влияет на производительность, стойкость инструмента и точность нарезаемой резьбы.
Для глухих отверстий и чистовых комплектных метчиков длину режущей части уменьшают до (1,5…2)Р, где Р – шаг резьбы. Гаечные метчики имеют длину (6…12)Р, машинно-ручные -6Р.
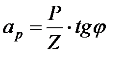
Угол φ влияет на толщину срезаемого слоя (рис.18)
, где
а – толщина срезаемого слоя в направлении, перпендикулярном главной режущей кромке,
|
|
|
ар – толщина срезаемого слоя в радиальном направлении.
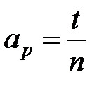
, где
t – фактическая высота резьбы,
, где
| а |
| а1 |
| φ |
| lэ |
| do |
| t |
| φ |
| t |
| e |
| Рис.8. Влияние угла φ на толщину срезаемого слоя |
, где d – наружный диаметр метчика,
d0 – диаметр отверстия под резьбу;
n – число резов, формирующих профиль
, где Z – число перьев метчика.
Следовательно,

.
Оптимальная толщина срезаемого слоя определяется с учетом обрабатываемого материала, типа метчика, требований к качеству обработки. Предельные значения толщины срезаемого слоя 0,02…0,15 мм. При толщине менее 0,02 наблюдается не резание а смятие и скобление, т.к. в этом случае радиус скругления режущей кромки оказывается больше толщины срезаемого слоя. При толщине более 0,15 мм резко ухудшается чистота обработанной поверхности.
Диаметр переднего торца метчика выполняют меньше диаметра отверстия под резьбу на 0,2…1 мм для обеспечения направления метчика при входе в отверстие.
Длина режущей части метчика l1 зависит от его назначения. При обработке глухих отверстий от длины заборной части зависит длина недореза резьбы и ее желательно уменьшать. При обработке сквозных отверстий от соотношения длины режущей части и длины резьбы зависит крутящий момент резания. Для уменьшения крутящего момента желательно, чтобы длина режущей части была больше длины резьбового отверстия.
Калибрующая часть окончательно формирует профиль, обеспечивает направление в работе и является запасом на переточку.
Преимущественный износ метчика происходит по задней поверхности в месте перехода от режущей к калибрующей части. Поэтому переточку рационально производить как по передней так и по задней поверхностям.
|
|
|
Заточка задней поверхности по конусу режущей части приводит к уменьшению длины калибрующей части. Длина калибрующей части предельно переточенного метчика должна быть не менее 0,5 d для крупных и средних метчиков и не менее (1,2…1) d для мелких.
| lp |
| φ |
| Мкр |
| l1 |
| l3 |
| l2 |
| lр |
| l1 < lр l2 = lр l3 > lр |
| Рис. 19 Зависимость момента резания от соотношения длины резьбы и длины режущей части метчика |
Чрезмерное увеличение длины калибрующей части приводит к увеличению крутящего момента и росту энергозатрат. Рекомендуемая длина калибрующей части lк – (6…12) Р.
Для устранения заклинивания на калибрующей части выполняется обратная конусность по профилю 0,05…0,1 мм на 100 мм длины (при обработке легких сплавов – 0,2…0,3 мм на 100 мм длины).
Число канавок Z влияет на толщину срезаемого слоя, а следовательно на величину крутящего момента. Уменьшение числа канавок снижает склонность метчика к заеданию, особенно при обработке вязких материалов. Улучшается размещение стружки в канавке, но ухудшается направление в работе. Число канавок выбирается в зависимости от диаметра метчика d.
Профиль канавки (рис. 9.)оказывает большое влияние на работу метчика.
Канавка должна:
- способствовать хорошему стружкообразованию и стружкоотводу из зоны резани;
- обеспечить хорошее размещение стружки, особенно при обработке глухих отверстий;
- препятствовать резанию при вывинчивании метчика из обработанного отверстия;
- препятствовать налипанию и заклиниванию стружки в канавке;
- не иметь резких переходов и концентраторов напряжений.

| Рис. 9. Форма канавок метчика |
• Диаметр сердцевины dсер выбирается из условия обеспечения достаточного пространства для размещения стружки и прочности метчика.
.
Рекомендуется углублять канавку на режущей части, т.к. здесь удаляется больший объем стружки, чем на калибрующей части.
• При выборе величины ширины пера F необходимо учитывать, что с увеличением этого параметра возрастает усилие трения и возрастает опасность забивания канавки стружкой, но с другой стороны увеличивается количество переточек и улучшается направление метчика в работе.

Для режущей части целесообразно уменьшать диаметр сердцевины dсер до 0,7…0,8, а ширину пера F до 0,6…0,7 соответствующих величин на калибрующей части.
• Угол у нерабочей кромки μ целесообразно уменьшать для устранения резания при вывинчивании метчика из обработанного отверстия, однако, чрезмерное уменьшение этого угла приводит к защемлению стружки при вывинчивании. Рекомендуется
.Также для исключения резания при вывинчивании можно снять фаску под углом 300 или притупить шлифовальным кругом острый уголок у нерабочей кромки вдоль всего зуба.
• Передняя поверхность может иметь прямолинейную (рис.20 б, в) или криволинейную (рис.20 а) образующую. Прямолинейная образующая более распространена, т.к. упрощает заточку метчика и не приводит к резкому изменению величины переднего угла по высоте резьбы, как у метчиков с криволинейной образующей. Однако при обработке вязких материалов криволинейная образующая передней поверхности способствует лучшему образованию и отводу стружки.
• Форма канавки
а) Радиусная форма (рис.21 а)проста в изготовлении, но имеет неблагоприятную геометрию):
- передний угол изменяется от отрицательных значений в начале режущей части (точка 1) до положительных значений в конце режущей части (точка 2);
- угол у нерабочей кромки μ больше 900, что приводит к резанию при вывинчивании метчика из обработанного отверстия.
Применяется для гаечных метчиков при обработке вязких материалов.
|
|
|

| Рис. 10. Влияние формы канавки на величину передних углов |
б) Сложная форма требует специального инструмента для изготовления, но обеспечивает лучшую геометрию:
- угол у нерабочей кромки μ меньше 900;
- передний угол уменьшается вдоль режущей части, но остается положительным во всех точках режущей кромки и имеет максимальное значение там, где длина вершинной режущей кромки максимальна.
• Направление канавок
- Прямые канавки (рис. 10. а) проще в изготовлении, но создают неопределенное направление схода стружки и различные по величине боковые передние углы на правой и левой стороне профиля, что приводит к снижению стойкости.
- Винтовые канавки с направлением противоположным направлению нарезки резьбы обеспечивают повышение стойкости за счет выравнивания величины боковых передних углов на правой и левой стороне профиля. Сход стружки идет в сторону обрабатываемого отверстия, поэтому такие канавки рационально применять для нарезания резьб в сквозных отверстиях.
- Винтовые канавки с направлением одноименным направлению нарезки резьбы обеспечивают сход стружки в сторону хвостовика. Применяются при обработке глухих отверстий, но геометрия самая неблагоприятная.
| Рис. 22 Направление канавок метчика |







