Для оптимизации среднего остатка денежных активов предприятия целесообразно разделить остаток на составляющие:
♦ операционный;
♦ страховой;
♦ компенсационный;
♦ инвестиционный.
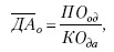
Операционный (трансакционный) остаток денежных активов формируется с целью обеспечения текущих платежей, связанных с производственно-коммерческой (операционной) деятельностью предприятия: по закупке сырья, материалов и полуфабрикатов; оплате труда; уплате налогов; оплате услуг сторонних организаций и т. п. Этот вид остатка денежных средств является основным в составе совокупных денежных активов предприятия. Потребность в операционном (трансакционном) остатке денежных активов характеризует минимальную их сумму, необходимую для осуществления текущей хозяйственной деятельности. На практике для расчета планируемой суммы операционного остатка денежных активов предлагается использовать следующую формулу:

где – планируемая сумма операционного остатка денежных активов предприятия; ПО од – планируемый объем денежного оборота (суммы расходования денежных средств) по текущей деятельности предприятия; КО да – количество оборотов среднего остатка денежных активов в плановом периоде.
Расчет планируемой суммы операционного остатка денежных активов может быть осуществлен и на основе отчетного их показателя, если в процессе анализа было установлено, что он обеспечивал своевременность осуществления всех платежей, связанных с операционной деятельностью предприятия. В этом случае для расчета используется следующая формула:

где 
– планируемая сумма операционного остатка денежных активов предприятия; 
– фактическая средняя сумма операционного остатка денежных активов предприятия в предшествующем аналогичном периоде; ПОод – планируемый объем денежного оборота (суммы расходования денежных средств) по операционной деятельности предприятия; ФОод – фактический объем денежного оборота (суммы расходования денежных средств) по операционной деятельности предприятия в предшествующем аналогичном периоде; КО да – количество оборотов среднего остатка денежных активов в плановом периоде.
Страховой (резервный) остаток денежных активов формируется для страхования риска несвоевременного поступления денежных средств от операционной деятельности в связи с ухудшением конъюнктуры на рынке готовой продукции, замедлением платежного оборота и по другим причинам. Потребность в страховом (резервном) остатке денежных активов определяется на основе рассчитанной суммы их операционного остатка и коэффициента неравномерности (коэффициента вариации) поступления денежных средств на предприятие по отдельным месяцам предшествующего года.
ДАс = ДАо × КВпдс,
где ДАс – планируемая сумма страхового остатка денежных активов предприятия; ДАо – плановая сумма операционного остатка денежных активов предприятия; КВпдс – коэффициент вариации поступления денежных средств на предприятие в отчетном периоде.
Компенсационный остаток денежных активов формируется в основном по требованию банка, осуществляющего расчетное обслуживание предприятия и оказывающего ему другие виды финансовых услуг. Он представляет собой неснижаемую сумму денежных активов, которую предприятие в соответствии с условиями соглашения о банковском обслуживании должно постоянно хранить на своем расчетном счете. Формирование такого остатка денежных активов является одним из условий выдачи предприятию бланкового кредита и предоставления ему широкого спектра банковских услуг. Потребность в компенсационном остатке денежных активов планируется в размере, определенном соглашением о банковском обслуживании.
Инвестиционный (спекулятивный) остаток денежных активов формируется с целью осуществления эффективных краткосрочных финансовых вложений при благоприятной конъюнктуре в отдельных сегментах рынка денег. Этот вид остатка может целенаправленно формироваться только в том случае, если полностью удовлетворена потребность в формировании денежных авуаров других видов.
Общий размер среднего остатка денежных активов в плановом периоде определяется путем суммирования рассчитанной потребности в отдельных видах:
