Атомы молекул некоторых веществ способны поляризоваться, т.е. приобретать дипольный момент в электрическом поле. Поляризация атомов обусловлена смещением в молекуле атомов разного типа, что связано с несимметричным распределением в молекуле электронной плотности – ассиметрические атомы. Вещества, содержащие такие атомы, обладают оптической активностью. Они способны вызывать вращение плоскости поляризации проходящего через исследуемое вещество света. Метод исследования веществ, основанный на измерении величины угла вращения плоскости поляризации света при прохождении его через оптически активные вещества, называется поляриметрией. Величина такого вращения в растворах зависит от их концентрации, поэтому поляриметрию широко применяют для измерения концентрации оптически активных веществ, например сахаров.
Вещества, обладающие свойством изменять направление колебаний при прохождении через них поляризованного света, называются оптически анизотропными, или оптически активными.
|
|
|
Оптическая активность веществ обусловлена особенностями строения кристаллической решетки - в этом случае вещества проявляют оптическую активность только в твердом кристаллическом состоянии, или особенностями строения молекул - оптическая активность таких веществ проявляется только в растворах.
К веществам последней группы относятся главным образом такие органические вещества, как сахароза, фруктоза, глюкоза, винная кислота. Поляриметрический метод разработан для количественного определения веществ именно этой группы.
Оптическая активность вещества характеризуется удельным вращением, под которым понимается угол, на который повернется плоскость поляризации при прохождении поляризованного луча через раствор, в 1 мл которого содержится 1 г растворенного вещества, при толщине слоя раствора (длине поляризационной трубки), равной 1 дм.
Под плоскостью поляризации понимается плоскость, проходящая через поляризованный луч перпендикулярно направлению его колебаний.
Удельное вращение зависит не только от природы вещества, но и от температуры, длины поляризованного света и растворителя, поэтому его принято относить к температуре 200С и желтой линии натрия и обозначать [σ]
с указанием растворителя.
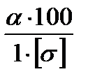
Угол вращения плоскости поляризации [α] определяют по формуле
α = [σ]
, (2.2)
где l – длина трубки, дм;
с – концентрация вещества, г/100 мл;
σ – удельное вращение, град.
Пользуясь формулой (4), вычисляем количество вещества в граммах, содержащееся в 100 мл раствора, т.е. концентрацию (с).
с =
, (2.3)
Исследования методом полярометрии осуществляют с помощью прибора поляриметра или его разновидностью сахариметра, с помощью которого можно определять содержание сахарозы в растворе неизвестной концентрации без предварительного взятия навески.
|
|
|






