Рассмотрим наиболее важные прикладные методы оценки качества и готовой продукции.
Относительная плотность определяется как отношение плотности исследуемого вещества к плотности «стандартного» вещества в определенных физических условиях:
d =
, (3.1)
где ρ - плотность данного вещества (кг/м3);
ρ0 - плотность «стандартного» вещества (кг/м3).
Плотность вещества, р, кг/м3, определяется как отношение покоящейся массы, m (кг) к ее объему v(м3):
ρ =
, (3.2)
Для жидких пищевых веществ «стандартным» веществом является чистая вода при температуре 3,98°С и нормальном атмосферном давлении, что соответствует наибольшей ее плотности.
Относительную плотность определяют при температуре продукта 20°С и воды 4°С или 20°С и обозначают символами d
или d
. Для пересчета значений плотности d
в d
или наоборот пользуются температурными коэффициентами расширения.
d
= 1,00177 d
и d
= 0,99823 d 
Относительная плотность жидких продуктов зависит не только от их температуры, но и от концентрации сухих веществ.
Показатели плотности учитываются при оценке качества молока, определении содержания сухих веществ в плодовых и ягодных экстрактах, содержания поваренной соли в растворах.
Для определения относительной плотности чаще всего применяют пикнометрический или ареометрический метод.
Пикнометрический метод основан на определении массы равных объемов исследуемого продукта и воды при температуре 20°С с помощью прибора пикнометра, который взвешивается, термостатируется вместе с исследуемым продуктов и отдельно с дистиллированной водой.
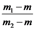
Плотность исследуемого продукта вычисляется по формуле
d20 =
, (3.3)
где m - масса пустого пикнометра, г;
ml - масса пикнометра с исследуемой жидкостью, г;
m2 - масса пикнометра с дистиллированной водой, г.
Ареометрический метод проводят с помощью прибора ареометр со шкалой, показывающей плотность. В исследуемый жидкий продукт погружают ареометр до тех пор, пока масса жидкого продукта, вытесненного им, не станет равной массе ареометра. Плотность жидкого продукта определяют по градуированной шкале ареометра в зависимости от уровня его погружения. Внутри некоторых ареометров имеется термометр, которым можно измерять температуру исследуемого жидкого продукта.






