| 1990 г.* | 1991 г.* | 1996 г.* | 1998 г.** | 1999 г.** | 2002 г.** | 2006 г." | |
| ввпн | 644,2 | 1398,5 | 2145655,5 | 2678,1 | |||
| ВВПр*** | 1472,9 | 1398,5 | 882,9 | 847,2 | 892,9 | 1064,1 | 1389,6 |
| ВВП | 0,438 | 2430,2 | 3,104 | 5,402 | 10,183 | 19,2724 |
Примечание *ВВПН выражен в текущих ценах в млрд р, **ВВПН и ВВПР — в млрд деноминированных рублей, ***ВВП выражен в ценах 1991 г, Рввп — дефлятор ВВП (цены в 1991 г = 1)
Быстрый рост номинального ВВП (ВВПН) отражает стремительное повышение цен. В 1996 г. их уровень был в 5548 раз выше, чем в 1990 г. В 1998 г. правительство провело деноминацию рубля: в обращение были выпущены новые банкноты, которые были обменены на старые рубли в пропорции 1:1000. Это было разумное мероприятие, хотя оно и не остановило дальнейшего повышения цен — в течение 1998—2006 гг. они выросли еще в 6,17 раза.
Рассмотрим методы исчисления реального ВВП.
Имея данные о номинальном ВВП и об уровне цен на все товары и услуги, мы можем рассчитать величину реального ВВП:

где Рввп — индекс цен на все конечные товары и услуги.
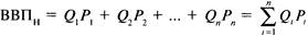
Общий размер номинального ВВП статистики исчисляют уже известным нам методом (см. параграф 11-2): они выражают стоимость конечных товаров и услуг в рыночных ценах и суммируют ее, т. е.

где Q — объем выпуска отдельных видов товаров или услуг в течение года; Р — цены на соответствующие товары и услуги в данном году.
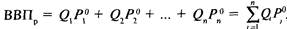
Величина реального ВВП исчисляется принципиально тем же методом, но стоимость конечных товаров и услуг теперь выражается
116 Номинальный и реальный ввп_____________________________________
_
|
| в неизменных ценах, т. е. в ценах, которые сложились на рынках товаров и услуг в каком-то одном году. В табл. 11-4 реальный ВВП выражен в ценах 1991 г. Таким образом, |
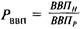
где Р° — неизменные цены на товары и услуги (например, в 1991 г.). Таким образом, определив величины номинального и реального ВВП за разные годы, статистики на основе полученных результатов исчисляют общий уровень цен на товары и услуги в каждом году, т. е. индекс цен на эти товары и услуги:

где /*ввп — общий индекс цен на все конечные товары и услуги, произведенные в стране в данном году. Общий индекс цен на все произведенные в стране товары и услуги принято называть индексом-дефлятором ВВП или коротко — дефлятором ВВП. Аналогичным образом исчисляются и индексы цен ВНП, ЧНП и других показателей в системе национальных счетов, а также индексы цен по отдельным структурным элементам ВВП — потребительским расходам населения, инвестициям и т.д. Соответственно этому номинальные и реальные показатели могут применяться в отношении не только ВВП, но и ВНП, национального дохода, инвестиций, потребительских расходов населения или расходов государства и т. д.
рЕЗЮмЕ
В настоящее время во всем мире определяется размер производимого в стране валового национального продукта, валового внутреннего продукта или обоих этих показателей. Это необходимо для того, чтобы установить, каково общее положение экономики, происходит ли улучшение или ухудшение этого положения, каков средний уровень благосостояния населения данной страны. На основе данных о ВНП и ВВП делаются международные сопоставления экономик различных стран.
Для того чтобы измерить объем всей продукции, которая производится в стране, все товары и услуги должны быть выражены в рыночных ценах. Сумма цен произведенных в стране товаров
____________________________________________________ Глава 1 1.
32 Валовой внутренний продукт и национальный доход
и услуг даст нам объем продукции, которая производится всеми отраслями экономики.
Итоговый результат функционирования национальной экономики должен быть представлен суммой цен только конечных товаров и услуг. К ним относится та продукция, что покупается населением с целью удовлетворения личных потребностей, в которую инвестируют свой капитал фирмы (производственные здания, оборудование и т. д.), которую покупают различные государственные органы и которая представлена чистым экспортом товаров и услуг.
Сумма рыночных цен всех конечных товаров и услуг, которые произведены факторами производства, принадлежащими гражданам и государству данной страны, представляет собой валовой национальный продукт. Сумма рыночных цен всех конечных товаров и услуг, которые произведены как национальными, так и иностранными факторами производства, но использовавшихся на территории данной страны, представляет собой валовой внутренний продукт.
Как ВНП, так и ВВП исчисляются двумя методами: 1) путем суммирования конечных расходов потребителей, государства и фирм на оплату товаров и услуг и 2) путем суммирования всех видов факторных доходов, включая косвенные налоги.
Каждая отрасль экономики делает свой вклад в производство ВВП. Он равен валовому выпуску ее продукции за вычетом затрат на оплату товаров и услуг, которые поставляются другими фирмами. Этот вклад отрасли в производство ВВП называется добавленной стоимостью.
В процессе производства ВВП происходит износ (амортизация) зданий и сооружений, машин и оборудования. Поэтому все фирмы ежегодно делают отчисления в счет возмещения указанного износа зданий и оборудования. Та часть ВНП, которая остается за вычетом амортизационных отчислений, представляет собой чистый национальный продукт (ЧИП).
Для того чтобы определить величину национального дохода, созданного в экономике, необходимо из ЧНП вычесть сумму статистической погрешности.
В жизни любого общества большую роль играет распределение национального дохода. В основе его распределения лежит цена на факторы производства.
Созданный в стране национальный доход равен сумме факторных доходов. Наряду с формированием и распределением факторных доходов в экономике происходит перераспределение доходов, вследствие чего образуются вторичные доходы. Это, в частности, происходит потому, что в перераспределении национального дохода большую роль играет государственный бюджет. Общая сумма факторных и вторичных доходов, которые выплачиваются домашним хозяйствам, образует их совокупный личный доход.
Из совокупного личного дохода государство вычитает личный подоходный налог и тому подобные прямые личные налоги, а также отчисления по социальному страхованию. Та сумма личного дохода, которая остается за вычетом прямых личных налогов и отчислений по социальному страхованию, представляет собой располагаемый доход, т. е. тот доход, который фактически поступает в распоряжение домашних хозяйств.
ВНП, ВВП и все другие показатели объема выпуска товаров и услуг, а также национальный доход и все другие виды доходов могут быть выражены как в текущих, так и в неизменных ценах. ВВП, выраженный в текущих ценах, называется номинальным ВВП. ВВП, выраженный в неизменных ценах, называется реальным ВВП. Показатель реального ВВП не зависит от изменений цен, и поэтому он отражает фактические размеры увеличения или сокращения объема выпуска конечных товаров и услуг. Номинальный ВВП в условиях, когда цены растут (или снижаются), не может служить показателем объема выпуска продукции.
^у Контрольные вопросы и задания
1. Каким образом можно соизмерить объем выпуска продук
ции угольной, швейной, пищевой промышленности и ус
луг парикмахерских?
2. Что такое промежуточный и конечный продукты?
3. Сопоставьте ВНП и ВВП; определите, в каком случае ВНП
будет больше, чем ВВП, а в каком, напротив, ВВП окажет
ся больше, чем ВНП.
4. Перечислите виды затрат в экономике, на основе которых
исчисляются ВНП и ВВП; перечислите виды факторных
доходов, на основе которых исчисляются ВНП и ВВП.
___________________________________________________ Глава 11
34 Валовой внутренний продукт и национальный доход
5. Что представляет собой добавленная стоимость?
6. Что такое чистый национальный продукт?
7. Как исчислить национальный доход?
8. Рассмотрите структуру доходов государственного бюджета,
сопоставьте природу прямых и косвенных налогов и ука
жите, чем они отличаются друг от друга.
9. Рассмотрите структуру расходов государственного бюдже
та. Укажите, чем трансфертные платежи отличаются от го
сударственных затрат на оплату товаров и услуг.
10. Как исчисляется размер совокупного личного дохода? Ка
кие вычеты из произведенных доходов должны быть сдела
ны при определении совокупного личного дохода и какие
доходы должны быть учтены при его исчислении?
11. Какие вычеты из совокупного личного дохода должны
быть сделаны, чтобы определить размер располагаемого
дохода?
12. Укажите, в каком случае реальный ВВП равняется номи
нальному ВВП, в каком первый окажется меньше, а в ка
ком больше.






