Если предприятие выпускает разнородную продукцию, то вычисление индекса производительности труда возможно несколькими методами.
1. Метод сопоставления прямых показателей уровня производительности труда:

где T 1, T 0 – общие затраты труда на производство продукции в отчетном и базисном периодах соответственно;
w 1, w 0 – общая производительность труда в отчетном и базисном периодах, соответственно;
Q 1, Q 0 – общий объем разнородной продукции. Показатель общего объема разнородной продукции может быть выражен в нормо‑часах рабочего времени и в денежном выражении.
Если показатель общего объема разнородной продукции выражен в нормо‑часах, то индекс производительности труда называется трудовым индексом производительности труда и рассчитывается по формуле:

где t – затраты рабочего времени по норме;
yQt h – трудовая выработка продукции (нормо‑часы);
Σf – фактические затраты рабочего времени на производство всей продукции;
SQt H / ST – средняя выработка в нормо‑часах.
Если показатель общего объема разнородной продукции выражен в денежном выражении, то индекс производительности труда называется стоимостным индексом производительности труда и рассчитывается по формуле:

где Σ Qp 0 – выработка продукции в денежном выражении;
Σ t – фактические затраты рабочего времени на производство всей продукции;
Σ Qp 0 / Σ T – средняя выработка в денежном выражении.
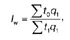
2. Трудовой метод сопоставления фактических уровней трудоемкости:

где Σ t 1 q 1 – общие фактические затраты рабочего времени на производство продукции;
Σ t 0 q 1 – условные затраты рабочего времени на производство продукции.
В этом случае показатель
(Уt 0 q 1 – Уt 1 q 1)
характеризует экономию или дополнительные затраты рабочего времени в связи с ростом (снижением) показателя производительности труда.
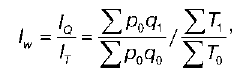
3. Метод сопоставления индексов объема продукции и затрат труда:

где I Q – индекс объема продукции;
I T – индекс затрат труда.






