Полная продолжительность рабочего дня – это продолжительность рабочего дня с учетом сверхурочно отработанных часов.
Урочная продолжительность рабочего дня – это продолжительность рабочего дня без учета сверхурочно отработанных часов.
К показателям использования рабочего времени относятся:
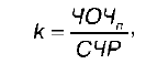
1) коэффициент использования рабочего периода:

где средняя фактическая продолжительность рабочего периода в днях (к) – это среднее число дней, отработанных одним работником за рассматриваемый период;
ЧОЧ п – общее число фактически отработанных человеко‑дней за период;
СЧР – сренесписочная численность работников
2) коэффициент использования продолжительности рабочего дня:

где средняя фактическая продолжительность рабочего дня (k1) – это среднее число часов, отработанных одним работником за рабочий день:

3) интегральный показатель использования рабочего времени:
Кисп. раб. вр.= Кисп. раб. пер. × Кисп. раб. дня. × 100 %.
Для предприятий и отраслей, работающих в сменном режиме, рассчитывают показатели сменности и использования рабочих мест: 1) коэффициент сменности рабочей силы, рассчитанный на определенную дату:

2) коэффициент сменности за календарный период:

Коэффициент сменности показывает, сколько смен в среднем в течение суток могло работать при равномерной загрузке смен рабочей силой.
1. Коэффициент использования сменного режима, характеризующий степень равномерности распределения рабочих по сменам:

2. Коэффициент непрерывности (коэффициент использования рабочих мест в наибольшую смену) на определенную дату:







