В связи с тем что показатели среднего размера вклада формируются под влиянием множества экономических и социальных факторов, для анализа влияния факторов на динамику среднего размера вкладов применяются статистические методы разложения индекса.
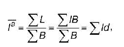
Показатель среднего размера вклада по различным группам лицевых счетов рассчитывается по формуле:

где l – средний размер вклада по каждой структурной части (группе) совокупности;
d – доля лицевых счетов какой‑либо группы совокупности в общем их числе.
Для данной модели можно проанализировать динамику показателя среднего размера вклада с помощью индексного метода:
1) индекса среднего размера вклада переменного состава:

Абсолютный прирост среднего размера вклада за счет двух факторов:

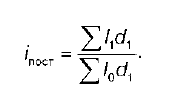
2) индекса среднего размера вклада постоянного состава:

Абсолютный прирост среднего размера вклада за счет среднего размера вклада по каждой структурной части (группе) совокупности:

3) индекса структурных сдвигов:

Абсолютный прирост среднего размера вклада за счет доли лицевых счетов какой‑либо группы совокупности в общем их числе:

По тому же принципу строятся и анализируются двухфакторные модели:
1) зависимости среднедушевого вклада от среднего размера вклада и уровня развития сберегательного дела;
2) зависимости среднего размера вкладов на одно сберегательное учреждение.
В статистике сберегательного дела уровень оборачиваемости вкладного рубля характеризуют два показателя:
1) число оборотов вкладов за период:

где В ВЫД – оборот вкладов по выдаче;
B – средний остаток вкладов за период, который рассчитывается по формулам средней хронологической для моментных рядов динамики;
2) средний срок хранения вкладов:

где D – количество дней в анализируемом периоде.