Упомянутый в конце очерка александрийский математик Диофант жил в III веке нашей эры. Им написана была «Арифметика», от которой до нас дошла только первая половина сочинения. В этом труде рассматриваются, между прочим, неопределенные уравнения, которые Диофантом и были впервые введены в математику; поэтому имя его осталось навсегда связанным с этими уравнениями.
О жизни Диофанта известно лишь то, что сообщается в надписи, сохранившейся на его могильном памятнике, – надписи, которая составлена в форме следующей задачи:
Путник! Здесь прах погребен Диофанта. И числа
поведать
Могут, о чудо, сколь долог был век его жизни.
Часть шестую его составляло прекрасное детство;
Двенадцатая часть протекла еще жизни, –
покрылся
Пухом тогда подбородок; седьмую в бездетном
Браке провел Диофант. Еще пять прошло лет,
Был осчастливлен рожденьем прекрасного
первенца‑сына, Коему рок половину лишь жизни прекрасной и
светлой
Дал на земле по сравненью с отцом. И в печали
глубокой
Старец земного удела конец воспринял, проживши
Года четыре с тех пор, как сына лишился. Скажи,
Скольких лет жизни достигнув, смерть воспринял
Диофант?
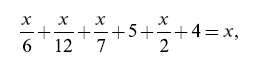
Составив уравнение:

узнаем из его решения (х = 84), что Диофант умер 84 лет, женился 21 года, стал отцом на 38 году и потерял сына на 80 году.






