Дано: Все население некоторой страны состоит из двух социальных групп, внутри которых доходы распределены равномерно. Бедных в четыре раза больше, чем богатых, а доля доходов, получаемых богатыми в три раза больше доли доходов бедных.
Найти: кривую Лоренца икоэффициент Джини для данной страны.
Решение:
1) Число бедных = 4*число богатых; население = богатые + бедные => 1 = 4*доля богатых + доля богатых => доля богатых = 1/5 = 0,2 => доля бедных = 0,2*4 = 0,8;
2) Доля доходов богатых = 3 доли доходов бедных => 1 = доля доходов бедных + 3 доли доходов бедных => доля доходов бедных = 1/4 = 0,25 => доля доходов богатых = 0,25*3 = 0,75;
3) Кривая Лоренца для данной страны (N – население, I – доход):

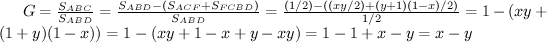
4) Коэффициент Джини (G) для экономики, состоящей из двух групп населения определяется как отношение площади фигуры АВС к площади фигуры АВD;


5) Коэффициента Джини для страны = 0,8 – 0,25 = 0,55.






