Матричная игра двух игроков с нулевой суммой может рассматриваться как следующая абстрактная игра двух игроков.
Первый игрок имеет m стратегий i = 1,2,...,m, второй имеет n стратегий j = 1,2,...,n. Каждой паре стратегий (i,j) поставлено в соответствие число аij, выражающее выигрыш игрока 1 за счёт игрока 2, если первый игрок примет свою i-ю стратегию, а 2 – свою j-ю стратегию.
Каждый из игроков делает один ход: игрок 1 выбирает свою i-ю стратегию (i=1,n), 2 – свою j-ю стратегию (j=1,m), после чего игрок 1 получает выигрыш аij за счёт игрока 2 (если аij<0, то это значит, что игрок 1 платит второму сумму | аij|). На этом игра заканчивается.
Каждая стратегия игрока i=1,n; j =1,m часто называется чистой стратегией.
Если рассмотреть матрицу

то проведение каждой партии матричной игры с матрицей А сводится к выбору игроком 1 i-й строки, а игроком 2 j-го столбца и получения игроком 1 (за счёт игрока 2) выигрыша аij.
Главным в исследовании игр является понятие оптимальных стратегий игроков. В это понятие интуитивно вкладывается такой смысл: стратегия игрока является оптимальной, если применение этой стратегии обеспечивает ему наибольший гарантированный выигрыш при всевозможных стратегиях другого игрока. Исходя из этих позиций, игрок 1 исследует матрицу выигрышей А следующим образом: для каждого значения i (i =1,n) определяется минимальное значение выигрыша в зависимости от применяемых стратегий игрока 2.
|
|
|

т.е. определяется минимальный выигрыш для игрока 1 при условии, что он примет свою i-ю чистую стратегию, затем из этих минимальных выигрышей отыскивается такая стратегия i = iо, при которой этот минимальный выигрыш будет максимальным, т.е. находится

Определение. Число, определённое по формуле (1) называется нижней чистой ценой игры и показывает, какой минимальный выигрыш может гарантировать себе игрок 1, применяя свои чистые стратегии при всевозможных действиях игрока 2.
Игрок 2 при оптимальном своём поведении должен стремится по возможности за счёт своих стратегий максимально уменьшить выигрыш игрока 1. Поэтому для игрока 2 отыскивается

т.е. определяется max выигрыш игрока 1, при условии, что игрок 2 применит свою j-ю чистую стратегию, затем игрок 2 отыскивает такую свою j = j1 стратегию, при которой игрок 1 получит min выигрыш, т.е. находит

Определение. Число, определяемое по формуле (2), называется чистой верхней ценой игры и показывает, какой максимальный выигрыш за счёт своих стратегий может себе гарантировать игрок 1.
Другими словами, применяя свои чистые стратегии игрок 1 может обеспечить себе выигрыш не меньше
, а игрок 2 за счёт применения своих чистых стратегий может не допустить выигрыш игрока 1 больше, чем
.
|
|
|
Определение. Если в игре с матрицей А α =
., то говорят, что эта игра имеет седловую точку в чистых стратегиях и чистую цену игры. u = α =
.
Седловая точка– это пара чистых стратегий (iо,jо) соответственно игроков 1 и 2, при которых достигается равенство α =
.. В это понятие вложен следующий смысл: если один из игроков придерживается стратегии
, соответствующей седловой точке, то другой игрок не сможет поступить лучше, чем придерживаться стратегии, соответствующей седловой точке. Математически это можно записать и иначе:

где i, j– любые чистые стратегии соответственно игроков 1 и 2;
– стратегии, образующие седловую точку.
Таким образом, исходя из (3), седловой элемент является минимальным в iо-й строке и максимальным в jо-м столбце в матрице А. Отыскание седловой точки матрицы А происходит следующим образом: в матрице А последовательно в каждой строке находят минимальный элемент и проверяют, является ли этот элемент максимальным в своём столбце. Если да, то он и есть седловой элемент, а пара стратегий, ему соответствующая, образует седловую точку. Пара чистых стратегий
игроков 1 и 2, образующая седловую точку и седловой элемент, называется решением игры. При этом iо и jо называются оптимальными чистыми стратегиямисоответственно игроков 1 и 2.
Пример1

Седловой точкой является пара (iо = 3; jо = 1), при которой u = α =
= 2.
Заметим, что хотя выигрыш в ситуации (3;3) также равен 2 = α =
, она не является седловой точкой, т.к. этот выигрыш не является максимальным среди выигрышей третьего столбца.
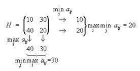
Пример 2

Из анализа матрицы выигрышей видно, что
, т.е. данная матрица не имеет седловой точки. Если игрок 1 выбирает свою чистую максиминную стратегию i = 2, то игрок 2, выбрав свою минимаксную j = 2, проиграет только 20. В этом случае игроку 1 выгодно выбрать стратегию i = 1, т.е. отклониться от своей чистой максиминной стратегии и выиграть 30. Тогда игроку 2 будет выгодно выбрать стратегию j = 1, т.е. отклониться от своей чистой минимаксной стратегии и проиграть 10. В свою очередь игрок 1 должен выбрать свою 2-ю стратегию, чтобы выиграть 40, а игрок 2 ответит выбором 2-й стратегии и т.д.






