· Распределение Больцмана (распределение частиц в силовом поле)
,
где п — концентрация частиц; U— их потенциальная энергия; n 0 — концентрация частиц в точках поля, где U =0; k =1,38∙10-23 Дж/К — постоянная Больцмана; T — термодинамическая температура.
· Барометрическая формула (распределение давления в однородном поле силы тяжести)
, или
,
где р — давление газа; m — масса частицы; М — молярная масса; z — координата (высота) точки по отношению к уровню, принятому за нулевой; р 0 — давление на этом уровне; g — ускорение свободного падения; R =8,31 Дж/(моль∙К) — молярная газовая постоянная.
· Вероятность того, что физическая величина х, характеризующая молекулу, лежит в интервале значений от х до x +d x, определяется по формуле
,
где f(x) —функция распределения молекул по значениям данной физической величины х (плотность вероятности).
· Количество молекул, для которых физическая величина х, характеризующая их, заключена в интервале значений от х до x +d x,
.
· Распределение Максвелла (распределение молекул по скоростям) выражается двумя соотношениями:
|
|
|
а) число молекул, скорости которых заключены в пределах от J до J+dJ,
,
где f (υ) — функция распределения молекул по модулям скоростей, выражающая отношение вероятности того, что скорость молекулы лежит в интервале от υ до υ+dυ, к величине этого интервала, а также долю числа молекул, скорости которых лежат в указанном интервале; N — общее число молекул; m — масса молекулы;
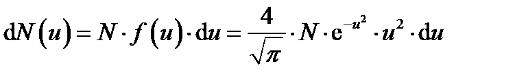
б) число молекул, относительные скорости которых заключены в пределах от u до u +d u,

где u = υ/υ в — относительная скорость, равная отношению скорости J к наивероятнейшей скорости υ в; f (u) — функция распределения по относительным скоростям.
· Распределение молекул по импульсам. Число молекул, импульсы которых заключены в пределах от р до p +d p,
,
где f (p) — функция распределения по импульсам.
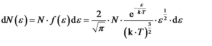
· Распределение молекул по энергиям. Число молекул, энергии которых заключены в интервале от e до e+de,
,
где f (e)—функция распределения по энергиям.
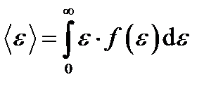
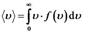
· Среднее значение физической величины х в общем случае
,
а в том случае, если функция распределения нормирована на единицу,
< x> =ò x∙f (x)d x
где f(x) — функция распределения, интегрирование ведется по всей совокупности изменений величины х.
Например, среднее значение скорости молекулы (т. е. средняя арифметическая скорость)
;
средняя квадратичная скорость
< υ кв>=< υ 2>1/2,
где
;
средняя кинетическая энергия поступательного движения молекулы
.






