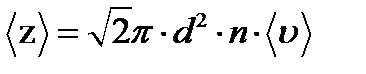
· Среднее число соударений, испытываемых одной молекулой газа в единицу времени,
,
где d — эффективный диаметр молекулы; п — концентрация молекул; < υ > — средняя арифметическая скорость молекул.
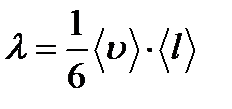
· Средняя длина свободного пробега молекул газа
.
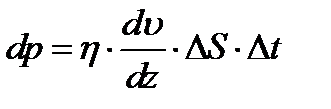
· Импульс (количество движения), переносимый молекулами из одного слоя газа в другой через элемент поверхности,
,
где h — динамическая вязкость газа;
—градиент (поперечный) скорости течения его слоев; D S — площадь элемента поверхности; d t — время переноса.
· Динамическая вязкость
,
где r — плотность газа (жидкости); < υ > — средняя скорость хаотического движения его молекул;< l > — их средняя длина свободного пробега.
· Закон Ньютона
,
где F — сила внутреннего трения между движущимися слоями газа.
· Закон Фурье
,
где D Q — теплота, прошедшая посредством теплопроводности через сечение площадью S за время D t; l — теплопроводность;
- градиент температуры.
· Теплопроводность (коэффициент теплопроводности) газа
|
|
|
или
,
где c v — удельная теплоемкость газа при постоянном объеме; r — плотность газа; < υ > — средняя арифметическая скорость его молекулы; < l > — средняя длина свободного пробега молекул.
· Закон Фика
,
где D m — масса газа, перенесенная в результате диффузии через поверхность площадью S за время D t; D — диффузия (коэффициент Эффузии);
- градиент концентрации молекул; m1 — масса одной молекулы.
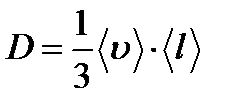
· Диффузия (коэффициент диффузии)
.






