Технологическими составляющими силы резания называют ее проекции на технологические оси x, y, z:
– ось x направлена вдоль подачи S;
– ось y перпендикулярна к обработанной поверхности;
– ось z совпадает с вектором V скорости главного движения.
Ось ν расположена в горизонтальной плоскости и совпадает с направлением схода стружки.
На рис. 1 показаны составляющие силы резания, действующие на резец. Равные им, но противоположно направленные составляющие действуют на заготовку.
В плоскости, проходящей через оси ν и z расположена суммарная равнодействующая сила резания P. Точка О – точка приложения этой силы. Проекцию силы P на оси x, y, z и ν обозначают соответственно Px, Py, Pz и Pν.

а) б)
Рис. 1. Составляющие силы резания: технологические оси (а); схема составляющих силы резания (б)
Сила – есть вектор ν. Вектор определяется модулем силы P и направлением.
Из рис. 1 следует:
;
. (1)
;
. (2)
Силу Px называют силой подачи. Она используется при проектировании механизма подачи станка.
Силу Py называют радиальной силой. Она деформирует заготовку, оказывает большое влияние на точность и виброустойчивость обработки.
|
|
|
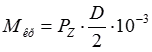
Силу Pz, вертикальную составляющую силы резания, часто называют главной составляющей силы резания. Эта сила вместе со скоростью резания определяет мощность резания (эффективная мощность), а вместе с диаметром заготовки – крутящий момент на валу шпинделя станка.
или
,
, (3)
где Pz – вертикальная составляющая силы, Н; V – скорость резания, м/мин, Nэ – мощность резания, кВт; D – диаметр обработки, мм; Мкр – крутящий момент резания, Н·м; n – частота вращения шпинделя (заготовки), об/мин.
При прямых срезах (t > S) имеют место следующие средние соотношения между составляющими силы резания
,
. (4)
Подставляя (4) в (2), получим:
или
. (5)
Таким образом, сила Pz по модулю практически равна равнодействующей силе P. Поэтому силу Pz называют главной составляющей силы резания.
Методика планирования многофакторного эксперимента и обработка опытных данных
Зависимость главной составляющей силы резания от режимов резания с достаточной точностью можно аппроксимировать степенной моделью вида
, (6)
где Ср, xр, yр – коэффициенты математической модели. Эти коэффициенты определяются экспериментально.
В результате проведения эксперимента необходимо получить некоторое представление о виде отклика, которую в общем случае можно аналитически описать функцией: P = f (t, S), где P – исследуемая функция; t и S – независимые переменные.
В теории эксперимента независимые переменные (t, S) принято называть факторами, а зависимую переменную P – функцией отклика. Значения, которые принимают факторы, называются уровнями. Для определения коэффициентов математической модели Ср, xp, yp используют план эксперимента, в котором каждый фактор варьируется на двух уровнях – нижнем и верхнем. Наименование значения факторов будем называть нижнем уровнем tв и Sв. Нижние и верхние уровни факторов ограничивают область определения функции отклика Р. Число опытов полного факторного эксперимента N = рk, где р – число уровней; k – число факторов. В нашем случае план эксперимента для двух факторов и двух уровней будет состоять из 4 опытов (N = 22 = 4).
|
|
|
Обработка результатов опытов упрощается, если от значений факторов в натуральном масштабе перейти к нормированным переменным, которые принимают значения -1, если фактор находиться на нижнем уровне, и +1, если фактор находится на верхнем уровне.
План эксперимента с использованием нормированных переменных Х 1 и Х 2 может быть представлен следующей таблицей, или матрицей (табл.). Для повышения точности математической модели каждый опыт повторяется несколько раз.
Таблица
| № опыта | Х 1 | Х 2 | P |
| -1 | -1 | P 1 | |
| +1 | -1 | P 2 | |
| -1 | +1 | P 3 | |
| +1 | +1 | P 4 |
С целью приведения модели к линейному виду необходимо перейти к новым переменным (к логарифмам переменных). Для этого прологарифмируем равенство (6) и получим
. (7)
Коэффициенты математической модели Ср, хр, yр вычисляют с использованием метода наименьших квадратов из условия минимума суммы квадратов разностей между расчетными и экспериментальными значениями функции отклика
.
Необходимые условия минимума функции запишутся в виде
,
,
.
Откуда и определяются значения
,
,
(8)






