Углеводами называются полигидроксильные соединения, содержащие альдегидные или кетогруппы, или образующие такие группы при гидролизе. Это самые распространенные в природе органические вещества.
Возникновение названия “углеводы” объясняется тем, что их состав отвечает формуле гидрата углерода. Иначе говоря, в названии отражается тот факт, что водород и кислород присутствуют в молекулах этих веществ в том же соотношении, что и в молекуле воды. Так, формулу глюкозы С6Н12О6 можно изобразить как С6(Н2О)6. Общая формула углеводов – Сх(Н2О)y, где х и y могут иметь разные значения.
Значение углеводов для растений исключительно велико. Они составляют до 85-90% веществ, слагающих растительный организм. Углеводы относятся к первичным продуктам синтеза, образуются в процессе фотосинтеза и служат основным питательным и главным опорным материалом для растительных клеток и тканей.
Классификация углеводов. Углеводы на основании их химического строения принято разделять на 3 группы:
1. Моносахариды;
|
|
|
2. Полисахариды первого порядка (олигосахариды);
3. Полисахариды второго порядка, которые, в свою очередь подразделяются на гомогликаны (гомополисахариды) и гетерогликаны (гетерополисахариды).
По физиологической роли в растениях углеводы также разделяют на три группы:
1. Метаболиты (моносахара и олигосахариды);
2. Запасные питательные вещества (олигосахариды и, реже, полисахариды второго порядка);
3. Структурные или скелетные вещества (полисахариды второго порядка).
В медицине наибольшее значение имеют полисахариды второго порядка.
Полисахариды второго порядка - это высокомолекулярные соединения, содержащие более 10 моносахаридных остатков, соединенных О-гликозидными связями и образующих линейные или разветвленные цепи. Гомополисахариды состоят из моносахаридных единиц (мономеров) одного типа, гетерополисахариды - из остатков различных сахаров и их производных.
Биогенез углеводов в растениях. Биогенез углеводов протекает по определенной схеме, характерной для всего класса этих важных органических соединений. Биогенез всех углеводов начинается с процеса фотосинтеза и тесно связан с такими последовательностями реакций, как «цикл трикарбоновых кислот», «гликолитический цикл» и другие, т.е. с внутриклеточными превращениями сахаров и других субстратов в анаэробных и аэробных условиях.
Рассматривая процессы биогенеза различных углеводов, легко обнаружить одну общую черту. Во всех случаях образование индивидуальных мономерных сахаров предшествует появлению гликозидных связей. Сначала синтезируются мономерные сахара, а затем они используются в форме макроэргических производных. При этом глюкозо-6-фосфат занимает ключевое положение в биосинтезе макроэргических предшественников углеводов (см. схему).
|
|
|
|
Общая схема биосинтеза углеводов
Физико-химические свойства полисахаридов второго порядка. Полисахаридывторого порядка - это аморфные, реже кристаллические вещества, нерастворимые в спирте и неполярных органических растворителях.
Растворимость в воде у разных представителей существенно различается: некоторые линейные гомополисахариды в воде не растворяются из-за прочных межмолекулярных связей, а сложные или разветвленные полисахариды либо растворяются в воде, либо образуют гели.
Полисахариды подвергаются кислотному или ферментативному гидролизу с образованием моно- или олигосахаридов.
Молекулярный вес полисахаридов колеблется от нескольких тысяч до нескольких миллионов Да.
Одним из важнейших представителей гомополисахаридов является крахмал. В растениях крахмал является главным энергетическим запасным материалом. Крахмал запасается в клетках в виде крахмальных зерен. Их можно видеть в первую очередь в хлоропластах листьев, а также в органах, где запасаются питательные вещества, например, в клубнях картофеля, семенах злаковых и бобовых. Размер крахмальных зерен колеблется в пределах от 0,002 до 0,15 мм (наиболее крупные крахмальные зерна у картофеля, а наиболее мелкие – у риса и гречихи). Они имеют слоистую структуру и у разных видов растений различаются по форме – овальной, сферической или неправильной.
В медицинской практике крахмал в основном используется в качестве наполнителя.
Крахмал относится к группе гомогликанов, т.е. соединений, мономерной единицей которых является только глюкоза. Он не является химически индивидуальным веществом и на 96-98% состоит из полисахаридов, образующих при кислотном гидролизе глюкозу; на 0,2-0,7% - из минеральных веществ, которые представлены, в основном, остатками фосфорной кислоты, на 0,6% - высокомолекулярными жирными кислотами, такими как пальмитиновая и стеариновая.
Жирные кислоты не связаны ковалентно с полисахаридной частью. Они просто адсорбированы на ней и легко могут быть удалены экстракцией органическими растворителями.
Остатки фосфорной кислоты в одних видах крахмала (кукурузном, пшеничном и рисовом) представляют собой постоянно присутствующую примесь, а в других, например, в картофельном, они связаны сложноэфирной связью с углеводной частью и при гидролизе обнаруживаются в составе глюкозо-1-фосфата.
Углеводная часть крахмала также неоднородна и состоит из двух полисахаридов, различающихся по физическим и химическим свойствам - амилозы и амилопектина. Амилопектин в крахмале количественно преобладает над амилозой, составляя около 75%.
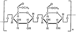
Амилоза имеет молекулярный вес в пределах 3х105-3х106 Да. Водные растворы амилозы весьма нестойки и при стоянии их них выделяются кристаллические осадки. В молекуле амилозы остатки глюкозы связаны a-гликозидными связями только между 1 и 4 углеродными атомами, образуя при этом длинную линейную цепочку:

Линейные цепи амилозы, состоящие из нескольких тысяч мономерных единиц, способны спирально свертываться и таким образом принимать более компактную форму.
С раствором йода в йодистом калии водная суспензия амилозы дает темно-синюю окраску, исчезающую при нагревании и вновь появляющуюся при охлаждении. Окрашивание сопровождается образованием комплексного химического соединения. При этом молекулы йода располагаются внутри спирально изогнутых цепочек амилозы.
Молекулярный вес амилопектина достигает сотен миллионов Да. Амилопектин содержит примерно вдвое больше глюкозных остатков, чем амилоза. Он растворяется в воде лишь при нагревании под давлением и дает очень вязкие и чрезвычайно стойкие растворы. В молекуле амилопектина гликозидные остатки соединены a-гликозидными связями не только между 1 и 4 углеродными атомами, но и между 1 и 6, образуя таким образом разветвленную структуру. Компактность амилопектина обеспечивается интенсивным ветвлением цепей:
|
|
|

Водная суспензия амилопектина окрашивается раствором йода в йодистом калии в красно-фиолетовый цвет (проба на крахмал). Следует подчеркнуть, в том и другом случае не происходит химической реакции полисахарида с йодом, а образуются адсорбционные соединения.
Другим представителем полисахаридов является инулин. Он относится к группе фруктозанов, т.е. полимеров, построенных из остатков фруктозы. Подобно крахмалу, представляет собой важное запасное вещество многих растений. Используется в основном для получения фруктозы. Молекулярный вес инулина составляет около 5-6 тысяч Да. Полимерная цепь инулина построена из 34-36 остатков фруктозы, соединенных b-гликозидной связью и заканчивается нередуцированным остатком a-D-глюкопиранозы:

К полисахаридам по химической структуре близка группа веществ, называемых полиуронидами - высокомолекулярных соединений, построенных по типу полисахаридов из остатков уроновых кислот. Из наиболее важных продуктов растительного происхождения с медицинской точки зрения к ним относятся пектиновые вещества, альгиновая кислота, камеди и слизи.
Пектиновые вещества - широко распространенные в растениях полигалактурониды, растворенные в растительных соках и осаждаемые спиртом или 50% ацетоном с образованием студня. Их роль – образование защитной прослойки между растительными клетками. Молекулярная масса пектиновых веществ достигает 200 000 Да.
Среди пектинов выделяют растворимый и нерастворимый пектин, пектовую и пектиновую кислоты.
Пектовая кислота представляет собой линейный полимер a-D-галактуроновой кислоты, связанной С1-С4 связями. Пектиновая кислота - это полигалактуроновая кислота, у которой часть карбоксильных групп метилирована. Растворимый пектин – это пектиновая кислота с высоким содержанием метильных групп. Нерастворимый пектин представляет собой образование из длинных переплетающихся цепей пектиновой кислоты, связанных друг с другом в местах перекреста через карбоксильные группы. Гидроксильные группы пектинов могут служить точками присоединения боковых разветвленных цепей из остатков D-галактозы, L-арабинозы, D-ксилозы и L-рамнозы:
|
|
|
|
Фрагмент структуры пектиновых веществ
Камеди и слизи - это близкие к пектину вещества, выделяемые растениями во внешнюю среду в виде прозрачных скоплений. Камеди появляются, как правило, при ранении растения или иных патологических явлениях. Слизи же образуются в растениях в результате “слизистого” перерождения клеток в процессе естественного функционирования растений и их органов. Те и другие являются Ca++, Mg++ и К+ солями полиуроновых кислот в различном сочетании с пентозами, метилпентозами и гексозами.
Растения и сырье, содержащие полисахариды
Корни алтея (Radices Althaeae). Алтей лекарственный (Althaea officinalis), А. армянский (A. armeniaca). Мальвовые (Malvaceae). Алтей лекарственный произрастает в степной и лесостепной части СНГ. Встречается в Восточной и Западной Сибири. Алтей армянский произрастает в Дагестане, Армении и Грузии. Оба вида растут по берегам рек, озер, среди зарослей кустарников и по берегам арыков. Алтей лекарственный введен в культуру на Украине и в Краснодарском крае.
Основные действующие вещества - слизи и пектины, крахмал, а также сахароза, жирное и эфирное масло, каротин, аскорбиновая кислота.
Корни выкапывают осенью после засыхания стеблей или, если местонахождение зарослей алтея заранее известно, ранней весной. С корней стряхивают землю, срезают и отбрасывают верхнюю утолщенную часть корневища, одревесневшие корни и мелкие ответвления боковых корней. Отобранные неодревесневшие корни складывают в бурты и подвяливают на воздухе 2-3 дня. Затем сырье режут на куски длиной до 30-35 см, а толстые мясистые корни, кроме того, расщепляют вдоль на 2-4 части. Для получения “очищенных корней алтея” с подвяленных корней острым ножом снимают верхнюю пробковую часть коры.
Заготовку следует производить выборочно, оставляя до 30% растений каждой заросли. Для возобновления заросли с выкопанных растений в образовавшуюся лунку рекомендуется отряхнуть семена или положить кусочки корневища. Поднятую дерновину следует уложить на прежнее место и утрамбовать участок, а при возможности - полить. Повторные заготовки возможны через 3-4 года.
Сушку лучше вести с искусственным обогревом при температуре 45-50оС и с хорошей вентиляцией. Сушка корней алтея на воздухе обычно не дает желаемых результатов, так как сырье, содержащее много крахмала, быстро загнивает и плесневеет.
Слизи, содержащиеся в корнях алтея, покрывают слизистые оболочки верхних дыхательных путей тонким слоем, удерживающимся на них в течение длительного времени и тем самым предохраняя слизистые от дальнейшего раздражения. В результате этого облегчается самопроизвольная регенерация поврежденных тканей и уменьшается воспалительный процесс. При этом слизи смягчают плотный воспалительный налет, что ведет к улучшению отхаркивания.
Водный экстракт корней алтея, принятый внутрь в достаточно большой дозе, обволакивает слизистую оболочку желудка, предохраняя ее от влияния раздражающих веществ, замедляет их всасывание и продлевает действие лекарственных средств. Защитное действие тем эффективнее и продолжительнее, чем выше кислотность желудочного сока: вязкость слизи повышается при взаимодействии с соляной кислотой, выделяемой железами желудка.
Препараты из корней алтея применяют при заболеваниях органов дыхания (бронхитах, ларингитах, трахеитах, бронхопневмонии и бронхиальной астме) и желудочно-кишечного тракта (гастритах, энтероколитах, язвенной болезни желудка и 12-перстной кишки), особенно при повышенной кислотности желудочного сока.
Рекомендуемая экстемпоральная форма – холодный настой 1:33.
Субстанции, используемые для получения препаратов.
1. Корни алтея. Входят в состав препаратов “Сбор грудной № 1” (Species pectoralis № 1), “Сбор грудной № 3” (Species pectoralis № 3), “Тонзилгон” (Tonsilgon).
2. Экстракт алтея сухой. Входит в состав препаратов “Алтейного корня экстракт сухой” (Extractum Althaeae siccum), “Алтейный сироп” (Sirupus Althaeae), “Микстура от кашля сухая для детей” (Mixtura sicca contra tissum pro infantibus).
3. Смесь полисахаридов из травы алтея лекарственного. Препарат “Мукалтин” (Mucaltinum),
Семена льна (Semina Lini). Лен обыкновенный (Linum usitatissimum). Льновые (Linaceae). Широко культивируется от субтропических до северных широт.
Сырье содержит слизи, жирное масло, белки, каротиноиды, углеводы, органические кислоты, гликозид линамарин.
Семена льна оказывают обволакивающее действие, что обусловлено большим содержанием слизи и линамарина. Обволакивающие вещества защищают от раздражения чувствительные нервные окончания слизистой оболочки желудочно-кишечного тракта, обладают противовоспалительным действием. Препятствуя возникновению рефлексов со слизистой оболочки и кишечника, слизи оказывают и болеутоляющее действие. Под влиянием обволакивающих веществ понижается всасывание из кишечника токсинов, что уменьшает общую интоксикацию организма. Слой слизи удерживается довольно долго без изменения вязкости, так как является стойким к гидролизующим факторам.
За счет жирного масла семена льна оказывают мягчительное и противовоспалительное действие, усиливают регенерацию тканей.
Семена льна, набухая в толстом кишечнике, разрыхляют его содержимое и облегчают продвижение каловых масс. Кроме того, жирное масло, покрывая стенки кишечника тонким слоем, усиливают их скольжение.
Применяют семена льна при язвенной болезни желудка и двенадцатиперстной кишки, особенно сопровождающихся гиперсекрецией; энтеритах и колитах.
Противопоказано применение семян льна при острых нарушениях функции кишечника (поносы), во время усиления болей при холецистите.
Экстемпоральная форма - слизь семян льна.
Из семян льна готовят льняное масло, которое применяется внутрь как легкое слабительное и наружно - при ожогах.
Субстанции, используемые для получения препаратов.
1. Льняное масло. Смесь этиловых эфиров ненасыщенных жирных кислот (олеиновой, линолевой и линоленовой), выделенных из льняного масла лежит в основе препарата “Линетол” (Linaetholum).
2. Линетол. Входит в состав препаратов “Винизоль” (Vinisolum), “Левовинизоль” (Laevovinisolum), “Ливиан” (Livianum) и др.
Листья мать-и-мачехи (Folia Farfarae). Мать-и-мачеха обыкновенная (Tussilago farfara). Астровые (Asteraceae). Распространена почти по всей территории России. Растет по берегам рек, ручьев, по склонам оврагов, на глинистых обрывах, железнодорожных насыпях.
Листья содержат горькие гликозиды, сапонины, каротиноиды, органические кислоты, ситостерин, аскорбиновую кислоту, инулин, декстрины, слизи, дубильные вещества, следы эфирного масла.
По ошибке могут быть собраны листья белокопытника (подбела) ненастоящего (Petasites spurius), и разных видов лопуха, чаще всего лопуха войлочного (Arctium tomentosum).
Основные отличия листьев мать-и-мачехи от листьев белокопытника ненастоящего и лопуха войлочного
| Название растения | Пластинка листа |
| Мать-и-мачеха обыкновенная | Округлая или широкояйцевидная, неравномерно-выемчатая, по краям зубчатая |
| Белокопытник ненастоящий | Неясно треугольная, у основания глубоко вырезанная |
| Лопух войлочный | Овально-округлая, цельнокрайняя, имеет угловое жилкование; отчетливо видна главная жилка |
Листья собирают в первой половине лета, когда они сравнительно невелики и с верхней стороны почти голые. Обрывать листья следует лишь с небольшой (не длиннее 5 см) частью черешка. Нельзя собирать совсем молодые листья, опушенные с обеих сторон, а также листья, пораженные ржавчиной и начинающие желтеть.
Сушат в хорошо проветриваемых помещениях или на открытом воздухе, разложив сырье тонким слоем в 1-2 листа. Сырье необходимо предохранять от сырости, так как оно легко впитывает влагу и буреет. В первые дни сушки сырье следует 1-2 раза в день осторожно переворачивать, чтобы обеспечить равномерную сушку с обеих сторон листа. Можно сушить в сушилках при температуре нагрева сырья до 50-60оС.
Благодаря содержанию значительного количества слизи мать-и-мачеха оказывает обволакивающее действие на слизистые оболочки полости рта, горла и гортани, защищая их от раздражения. Кроме того, слизи, сапонины и органические кислоты размягчают и разжижают сухое отделяемое в верхних дыхательных путях, восстанавливают естественное движение реснитчатого эпителия, способствуя более быстрой эвакуации продуктов воспаления и значительно улучшая отхаркивание мокроты.
Дубильные вещества, каротиноиды и стерины оказывают выраженное противовоспалительное действие: уменьшают гиперемию слизистых оболочек, активно влияют на различные фазы процесса воспаления благодаря бактериостатическим свойствам этих соединений.
Препараты мать-и-мачехи применяют при ларингитах, трахеитах, хронических бронхитах, бронхопневмонии, бронхиальной астме и бронхоэктатической болезни.
Наружно в виде влажных повязок, компрессов, примочек и ванночек листья мать-и-мачехи используют при лечении фурункулеза, мелких язвенных поражений, инфицированных ран и других патологических состояниях кожи.
Рекомендуемая экстемпоральная форма - настой 1:40.
Субстанции, используемые для получения препаратов.
1. Листья мать-и-мачехи. Входят в состав препаратов “Сбор грудной № 1” (Species pectoralis № 1), “Сбор грудной № 2” (Species pectoralis № 2).
2. Экстракт листьев мать-и-мачехи сухой. Входит в состав препарата “Бронхифлукс” (Bronchifluxum).
Листья подорожника большого (Folia Plantaginis majoris). Листья подорожника большого свежие (Folia Plantaginis majoris recens). Подорожник большой (Plantago major). Подорожниковые (Plantaginaceae). Широко распространен по всей территории России. Произрастает повсеместно около дорог, на огородах, полях, по лесным опушкам и берегам водоемов.
Листья содержат слизи, каротиноиды, витамин К, аскорбиновую кислоту, гликозид аукубин, флавоноиды, лимонную кислоту.
Не допускаются к применению другие виды подорожников, которые часто растут вместе с подорожником большим и более или менее похожи на него.