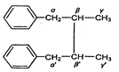
Лигнаны - природные фенольные вещества, производные димеров фенилпропанового ряда (С6-С3), соединенных между собой С-С связями между средними атомами углерода боковых цепей:
|
Лигнаны довольно широко распространены в растительном мире, особенно часто встречаются в сем. Pinaceae, Berberidaceae, Asteraceae, Araliaceae и др. В растениях находятся в растворенном виде в жирных и эфирных маслах, смолах, накапливаются во всех органах. Существуют как в свободном виде (в форме агликонов), так и в форме гликозидов.
Многие из лигнанов обладают ценными фармакологическими свойствами: противоопухолевым, противомикробным и адаптогенным.
Семена лимонника (Semina Schizandrae). Лимонник китайский (Schizandrae chinensis). Лимонниковые (Schizandraceae). Распространен в Приморском и Хабаровском краях, Амурской и Сахалинской областях. Растет в горных кедрово-широколиственных лесах, по берегам рек и ручьев, вдоль лесных дорог.
Семена лимонника содержат лигнаны, флавоноиды, катехины, антоцианы, эфирное масло, органические кислоты, пектиновые вещества, сахара, жирное масло, аскорбиновую кислоту.
|
|
|
Семена лимонника повышают артериальное давление, уменьшают частоту сердечных сокращений и усиливают их амплитуду, учащают ритм и увеличивают амплитуду дыхательных движений.
Применяют при астенических и астенодепрессивных состояниях, психастениях, реактивных депрессиях, сопровождающихся такими симптомами, как быстрая утомляемость, снижение работоспособности, раздражительность, вялость, сонливость, гипотония. Значительно повышается острота зрения, особенно в ночное время.
Препараты лимонника противопоказаны при нервном возбуждении, бессоннице, повышенном артериальном давлении, нарушениях сердечной деятельности.
Субстанция, используемая для производства препарата:
Настойка семян лимоника. Выпускается препарат “Настойка лимонника” (Tinctura Schizandrae).
Корневища и корни элеутерококка (Rhizomata et radices Eleutherococci). Элеутерококк колючий (Eleuthericoccus senticosus). Аралиевые (Araliaceae). Растет в кедрово-широколиственных лесах Приморского края, встречается в Приамурье и на Южном Сахалине.
Содержит сахара, кумарины, жирные и эфирные масла, микроэлементы. Основными биологическими веществами сырья являются элеутерозиды А, В, С, Д, и Е.
Адаптоген. Применяется для лечения больных с различными формами неврозов, стимулирует умственную работоспособность, уменьшает утомляемость при физической нагрузке, усиливает остроту зрения и улучшает слух. Улучшает общее состояние больных, снижает содержание холестерина и -липопротеидов в сыворотке крови при атеросклерозе с преимущественным поражением аорты и коронарных сосудов.
|
|
|
Общеукрепляющее действие элеутерококка создает благоприятный фон для лечения больных с различными заболеваниями сердечно-сосудистой системы, в том числе и ревмокардитом.
Субстанция, используемая для производства препарата:
Элеутерококка экстракт жидкий (сухой). Промышленными препаратами являются “Элеутерококка экстракт жидкий” (Extractum Eleutherococci fluidum), входит в состав препаратов “Элеутерококка экстракта таблетки” (Tabulettae extracti Eleutherococci), «Хромвитал» (Chromevital), «Эликсир «Эвалар» (Elixir “Evalar”).
Корневища с корнями подофилла щитовидного (Rhizomata cum radicibus Podophylli peltati). Подофилл щитовидный (Podophyllum peltatum). Барбарисовые (Berberidaceae). Культивируется в Львовской области.
Сырье содержит лигнаны - производные подофиллотоксина и a- и b-пельтатинов. Их основным фармакологическим свойством является противоопухолевая активность, проявляющаяся на стадии деления клеток как митозный яд, повреждающий клеточные ядра.
Применяют как вспомогательное средство при папилломатозе гортани и папилломах мочевого пузыря.
Субстанция, используемая для производства препарата:
Смесь подофилотоксина, a- и b-пельтатинов. Составляет препарат “Подофиллин” (Podophyllinum).






