Сапонинами называют группу природных соединений растительного или животного происхождения, обладающих поверхностной активностью и способных вызывать гемолиз эритроцитов. Молекулы сапонинов, как и других гликозидов, состоят из агликона, который носит название “сапогенин”, и углеводной части.
Впервые эта группа веществ была выделена в 1811 г. Шнайдером из мыльнянки, а термин “сапонины” ввел в 1819 г Мэлон на основании того, что растворы этих веществ при встряхивании способны образовывать обильную пену (“Sapo” в переводе с латинского означает мыло).
Установить полную структуру сапонинов долгое время не удавалось и с момента открытия сапонинов и до 60-х годов XX века, т.е. почти за 150 лет удалось изучить химическую структуру только четырех гликозидов сапонинового ряда. В 60 -х годах под руководством акад. Кочеткова были разработаны аналитические и препаративные условия исследования сапонинов, что позволило российским ученым занять лидирующее положение в области химии этой группы природных соединений. Так, в настоящее время известно более 200 тритерпеновых сапонинов с установленной структурой и более 150 из них изучены отечественными учеными.
|
|
|
Роль сапонинов в растениях. Сапонины находятся в клетках растений в растворенном виде. Эти соединения в больших количествах обнаруживаются в тех органах и тканях, которые интенсивно функционируют или содержат большое количество активно делящихся клеток: хлоропласты, меристематические участки, семена растений и т.д. В зависимости от состояния растительного организма содержание и скорость биосинтеза сапонинов изменяются в достаточно больших пределах, что указывает на значительную роль этих соединений в обмене веществ. Предполагается, что сапонины включаются в основной метаболизм в период роста растений, выполняя еще не изученные до настоящего времени регуляторные функции. Доказано, что сапонины используются растительными организмами для борьбы за существование и поддержания равновесия при антагонистических взаимоотношениях биологических систем, в частности, служат факторами невосприимчивости растений к грибковым заболеваниям.
Классификация сапонинов. Сапонины классифицируют в зависимости от химического строения агликона (сапогенина). По этому признаку все сапонины подразделяются на следующие группы:
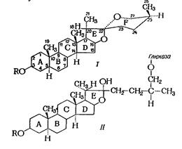
1. Стероидные - при гидролизе распадаются на моносахариды и агликоны, содержащие 27 углеродных атомов в молекуле и имеющие в основе структуру циклопентанпергидрофенантрена.
В свою очередь стероидные сапонины подразделяются на гликозиды спиростенолового ряда с 6 циклами в стероидной части молекулы (I) и гликозиды фуростенолового ряда, у которых одно их колец раскрыто и боковая цепь в них содержит глюкозу (II):
|
|
|

2. Тритерпеновые - в основе лежит шестикратно повторяющаяся молекула изопрена, образуя соединение с суммарной формулой С30Н48.
Тритерпеновые сапонины по характеру агликона могут относиться к a- или b-амиринового ряду, лупановому или фриделиновому ряду:


3. Близкие к тритерпеновым сапонинам сапонины с агликоном тетрациклической стероидной структуры (в изучаемых нами растениях представлены производными дамарана - панаксатриолом панаксадиолом):

Распространение в растительном мире. Cапонины достаточно широко распространены в растениях: их присутствие достоверно установлено в 40 семействах.
Стероидные сапонины содержатся в растениях разных семейств, но преимущественно в семействах Liliaceae, Dioscoreaceae, Fabaceae, Ranunculaceae и Scrophulariaceae. Всего до настоящего времени известно около 150 стероидных гликозидов, из них более 100 спиростеноловых и около 40 - фуростеноловых. Сахарные компоненты стероидных сапониновых гликозидов по сравнению с другими гликозидами имеют более сложное строение. Они могут содержать от 1 до 9 моносахаров, соединенных между собой как линейно, так и с разветвлением цепи.
Тритерпеновыми сапонинами наиболее богаты семейства Caryophyllaceae, Ranunculaceae, Fabaceae и Asteraceae. В сахарных компонентах тритерпеновых сапонинов может находиться от 1 до 10 различных моносахаров и их присоединение может быть в одном или нескольких местах. Помимо этого сахарные компоненты могут иметь раздвоение цепей. В состав углеводного компонента тритерпеновых сапонинов кроме обычных моносахаров могут входить глюкуроновые или галактуроновые кислоты, а также остатки органических кислот - коричной, уксусной и др., что придает молекуле кислый характер,
Сапониновые гликозиды с агликоном тетрациклической стероидной структуры широко распространены в семействе Araliaceae. Яркими представителями являются сапонины жень-шеня, представленые так называемыми панаксозидами - производными панаксодиола и панаксотриола. В сахарных компонентах панаксозидов содержатся от 3 до 6 моносахаридных остатков в 2-х углеводных цепях, связанных О-гликозидными связями.
Биогенез сапонинов в растениях. Тритерпеновые и стероидные сапонины синтезируются в растениях по изопреноидному пути. Их биогенетическим предшественником является сквален, который образуется путем соединения «хвост к хвосту» двух молекул фарнезилпирофосфата (см. «Биосинтез терпеноидов», «Биосинтез сердечных гликозидов»).
Физико-химические свойства сапонинов. Свойства сапонинов зависят как от структуры сапогенина, так и от строения углеводного компонента. Гликозиды сапонинов, как правило, аморфные вещества. Их кристаллизуемость зависит от длины углеводного компонента: имеющие в своем составе до 4-х монозидов могут быть получены в кристаллическом виде. Сапогенины же, как правило, являются кристаллическими соединениями с четко выраженной температурой плавления. Сапонины являются поверхностно активными веществами и обладают оптической активностью.
Сапонины не растворимы в хлороформе, ацетоне, петролейном эфире, но растворимы в низших спиртах. Растворимость сапонинов в воде определяется длиной углеводного компонента: гликозиды, имеющие менее 5-ти углеводных остатков плохо растворимы в воде.
Из водных или водно-спиртовых растворов сапонины можно осадить добавлением водоотнимающих агентов (эфира, ацетона) или добавлением солей тяжелых металлов.
Тритерпеновые сапонины и, в меньшей степени, стероидные, способны образовывать комплексы с фенолами, высшими спиртами и стеринами. На этом основана гемолитическая активность сапонинов. Механизм гемолиза эритроцитов заключается в следующем. Вначале образуется прочный комплекс сапониновых гликозидов с компонентами эритроцитарных мембран, содержащих остатки жирных кислот. Под действием ферментов происходит гидролиз гликозидов до свободных сапогенинов. В свою очередь, образовавшиеся сапогенины становятся способными к конкуренции со структурными белками мембраны за липопротеины. В итоге происходит ее разрушение и происходит выход гемоглобина и другого содержимого из эритроцитарных клеток.
|
|
|
Тритерпеновые сапонины могут быть нейтральными или кислыми, что обусловлено наличием в агликоне карбоксильной группы или присутствием уроновых и органических кислот в углеводном компоненте.
Кислые сапонины образуют растворимые соли с одновалентными металлами и нерастворимые - с двухвалентными.
Многие сапонины способны образовывать молекулярные комплексы с белками, липидами и дубильными веществами.
Все сапонины неустойчивы в кислой среде, поскольку в этих условиях происходит расщепление гликозидных связей.
Выделение сапонинов из растительного сырья. Выделение сапониновых гликозидов включает в себя получение из растительного материала суммарного экстракта, его очистку от балластных веществ и последующее разделение смеси на индивидуальные компоненты.
Наиболее распространенным методом выделения сапониновых гликозидов является экстракция водным метиловым, этиловым или изопропиловым спиртами с предварительным обезжириванием сырья петролейным, диэтиловым эфирами или другими гидрофобными растворителями. Необходимость этой операции связана с присутствием в растениях жироподобных веществ, прежде всего стеринов, с которыми большинство сапонинов способны образовывать нерастворимые в водных спиртах комплексные соединения.
При экстракции сапонинов водными спиртами необходимо соблюдать ряд предосторожностей. Так, например, наличие в растениях органических кислот может привести к их деструкции (кислотному гидролизу) сапоновых гликозидов. Для устранения этого нежелательного эффекта в экстрагент добавляют небольшое количество пиридина, связывающего органические кислоты.
|
|
|
Подбор растворителя для экстракции зависит от строения извлекаемых веществ. Высокополярные гликозиды обычно экстрагируют водным бутиловым спиртом.
Для извлечения тритерпеновых сапонинов кислого характера используют разбавленный водный аммиак или водный раствор соды, так как эти соединения, содержащие небольшую углеводную составляющую, хорошо растворимы в щелочах и выпадают в осадок при подкислении.
Гликозиды, содержащие небольшое количество моносахаридных остатков, могут быть очищены переосаждением из спиртовых растворов водой.
Полярные сапонины, плохо растворимые в метаноле или этаноле, выпадают в осадок при охлаждении или длительном стоянии концентрированных спиртовых экстрактов.
Некоторые гликозиды, содержащие глюкуроновую кислоту, могут осаждаться гидроокисью бария или свинца, ацетатом свинца, а осадки затем разлагают серной кислотой, углекислотой или сероводородом.
Разделение и очистку сапонинов осуществляют самыми различными приемами (осаждением ацетоном или другими водоотнимающими агентами, гель-фильтрацией, хроматографией на колонках с оксидом алюминия или силикагелем, ионообменной хроматографией и др.), что зависит от химического строения сапонинового гликозида.
Качественный анализ сапонинов. Обычно для качественных реакций готовят водный настой 1:10, нагревая измельченное растительное сырье на водяной бане в течение 10 мин.
Для обнаружения сапонинов в растительном сырье пользуются реакциями, основанными на физико-химических, химических и биологических свойствах этих веществ.
К первой группе относится реакция пенообразования. Это не только чувствительная, но и довольно характерная проба, так как других веществ, обладающих способностью к пенообразованию, в растениях не встречается.
Реакцией пенообразования можно дифференцировать присутствие в сырье либо стероидных, либо тритерпеновых сапонинов. Для этого в две пробирки помещают 0,1 Н хлороводородную кислоту или 0,1 Н раствор натрия гидроксида. При наличии в сырье тритерпеновых сапонинов в обеих пробирках образуется пена, равная по объему и устойчивости. Если сырье содержит сапонины стероидной группы, то в среде щелочи образуется пена, в несколько раз больше по объему и устойчивости.
Ко второй группе относятся реакции осаждения и цветные реакции.
1. Из водных растворов сапонины осаждаются гидрооксидом бария или магния, солями меди, ацетатом свинца. При этом тритерпеновые сапонины осаждаются средним ацетатом свинца, а стероидные - основным.
2. Из спиртовых извлечений стероидные и тритерпеновые сапонины выпадают в осадок в виде холестероидов при добавлении спиртового раствора холестерина.
3. Стероидные сапонины дают реакцию Либермана-Бурхарда: растворенные в ледяной уксусной кислоте, при добавлении смеси уксусного ангидрида и концентрированной серной кислоты, образуют окраску от розовой до зеленой и синей.
4. Тритерпеновые сапонины обнаруживаются реакцией с уксусным ангидридом и концентрированной серной кислотой в хлороформной среде - развивается оранжевое окрашивание.
К биологическим методам обнаружения сапонинов относится реакция гемолиза эритроцитов. К настою, приготовленному на изотоническом растворе, прибавляют 2% взвесь эритроцитов - образуется “лаковая” кровь.
Следует иметь в виду, что существуют сапонины, практически не проявляющие гемолитических свойств. Поэтому для определения неизвестных веществ всегда дополнительно пользуются реакциями, основанными на химических свойствах.
Количественное определение сапонинов. Для количественного определения сапонинов в растительном сырье используются биологические и физико-химические методы.
К биологическим методам относится определение гемолитического индекса. Гемолитический индекс - это минимальная концентрация сапонина, выражаемая в микрограммах на литр, которая вызывает полный гемолиз 2% суспензии дефибринированной плазмы крови. Следует иметь в виду, что различные сапонины при одинаковой концентрации имеют разный гемолитический индекс. Поэтому каждое сырье должно иметь свой стандарт - раствор соответствующего чистого сапонина.
Общих физико-химических методов определения сапонинов в сырье не существует. В некоторых случаях может быть применен гравиметрический способ, основанный на весовом определении сапогенина после кислотного гидролиза суммы сапониновых гликозидов. Широко применяются фотоэлектроколориметрические методы после проведения химической реакции, в результате которой образуются устойчивые окрашенные продукты.
Поскольку сапонины поглощают свет в области 260-280 нм, к ним применимы прямые спектрофотометрические методы количественного анализа.
Сапонины, являющиеся производными спиростана, флуоресцируют в УФ свете. Их можно определять флуориметрическими методами.
Некоторые сапонины, имеющие кислый характер, определяют титриметрическим способом. Наибольшее распространение получил метод нейтрализации в неводной среде.






